Online Database of Chemicals from Around the World

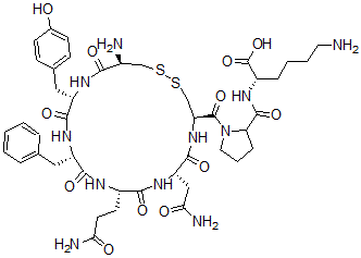
(2S)-6-氨基-2-[[1-[(4R,7S,10S,13S,16S,19R)-19-氨基-7-(2-氨基-2-氧代乙基)-10-(3-氨基-3-氧代丙基)-16-[(4-羟基苯基)甲基]-6,9,12,15,18-五氧代-13-(苯基甲基)1,2-二硫杂-5,8,11,14,17-五氮杂环二十烷-4-羰基]吡咯烷-2-羰基]氨基]己酸
[CAS# 32472-43-8]

供应商
CAS#: 32472-43-8
产品: (2S)-6-氨基-2-[[1-[(4R,7S,10S,13S,16S,19R)-19-氨基-7-(2-氨基-2-氧代乙基)-10-(3-氨基-3-氧代丙基)-16-[(4-羟基苯基)甲基]-6,9,12,15,18-五氧代-13-(苯基甲基)1,2-二硫杂-5,8,11,14,17-五氮杂环二十烷-4-羰基]吡咯烷-2-羰基]氨基]己酸
暂时没有厂家供应该产品。
基本信息
产品名称 (2S)-6-氨基-2-[[1-[(4R,7S,10S,13S,16S,19R)-19-氨基-7-(2-氨基-2-氧代乙基)-10-(3-氨基-3-氧代丙基)-16-[(4-羟基苯基)甲基]-6,9,12,15,18-五氧代-13-(苯基甲基)1,2-二硫杂-5,8,11,14,17-五氮杂环二十烷-4-羰基]吡咯烷-2-羰基]氨基]己酸
英文名 (2S)-6-Amino-2-[[1-[(4R,7S,10S,13S,16S,19R)-19-Amino-7-(2-Amino-2-Oxoethyl)-10-(3-Amino-3-Oxopropyl)-16-[(4-Hydroxyphenyl)Methyl]-6,9,12,15,18-Pentaoxo-13-(Phenylmethyl)1,2-Dithia-5,8,11,14,17-Pentazacycloicosane-4-Carbonyl]Pyrrolidine-2-Carbonyl]Amino]Hexanoic Acid
别名 (2S)-6-Amino-2-[[1-[(4R,7S,10S,13S,16S,19R)-19-Amino-7-(2-Amino-2-Oxo-Ethyl)-10-(3-Amino-3-Oxo-Propyl)-16-[(4-Hydroxyphenyl)Methyl]-6,9,12,15,18-Pentaoxo-13-(Phenylmethyl)1,2-Dithia-5,8,11,14,17-Pentazacycloicosane-4-Carbonyl]Pyrrolidine-2-Carbonyl]Amino]Hexanoic Acid; (2S)-6-Amino-2-[[[1-[[(4R,7S,10S,13S,16S,19R)-19-Amino-7-(2-Amino-2-Oxoethyl)-10-(3-Amino-3-Oxopropyl)-16-[(4-Hydroxyphenyl)Methyl]-6,9,12,15,18-Pentaoxo-13-(Phenylmethyl)-1,2-Dithia-5,8,11,14,17-Pentazacycloicos-4-Yl]-Oxomethyl]-2-Pyrrolidinyl]-Oxomethyl]Amino]Hexanoic Acid; (2S)-6-Amino-2-[[1-[(4R,7S,10S,13S,16S,19R)-19-Amino-7-(2-Amino-2-Keto-Ethyl)-10-(3-Amino-3-Keto-Propyl)-13-(Benzyl)-16-(4-Hydroxybenzyl)-6,9,12,15,18-Pentaketo-1,2-Dithia-5,8,11,14,17-Pentazacycloicosane-4-Carbonyl]Pyrrolidine-2-Carbonyl]Amino]Hexanoic Acid
分子结构 CAS 登录号:32472-43-8, (2S)-6-氨基-2-[[1-[(4R,7S,10S,13S,16S,19R)-19-氨基-7-(2-氨基-2-氧代乙基)-10-(3-氨基-3-氧代丙基)-16-[(4-羟基苯基)甲基]-6,9,12,15,18-五氧代-13-(苯基甲基)1,2-二硫杂-5,8,11,14,17-五氮杂环二十烷-4-羰基]吡咯烷-2-羰基]氨基]己酸
分子式 C44H61N11O12S2
分子量 1000.15
CAS 登录号 32472-43-8
分子行输入简码 SMILES [C@H]1(NC(=O)[C@@H](NC(=O)[C@@H](N)CSSC[C@H](NC(=O)[C@@H](NC(=O)[C@@H](NC1=O)CCC(=O)N)CC(=O)N)C(=O)N2C(C(=O)N[C@H](C(=O)O)CCCCN)CCC2)CC3=CC=C(O)C=C3)CC4=CC=CC=C4
国际化学标识码 InChI 1S/C44H61N11O12S2/c45-17-5-4-9-29(44(66)67)50-42(64)34-10-6-18-55(34)43(65)33-23-69-68-22-27(46)37(59)51-30(20-25-11-13-26(56)14-12-25)40(62)52-31(19-24-7-2-1-3-8-24)39(61)49-28(15-16-35(47)57)38(60)53-32(21-36(48)58)41(63)54-33/h1-3,7-8,11-14,27-34,56H,4-6,9-10,15-23,45-46H2,(H2,47,57)(H2,48,58)(H,49,61)(H,50,64)(H,51,59)(H,52,62)(H,53,60)(H,54,63)(H,66,67)/t27-,28-,29-,30-,31-,32-,33-,34?/m0/s1
国际化学标识检索码 InChIKey WPCFWQWRFMYCKC-HXAPPMQUSA-N
物理化学性质
密度 1.3±0.1g/cm3 (计算值)
沸点 1519.4±65.0°C at 760 mmHg (计算值)
闪点 872.7±34.3°C (计算值)
市场分析报告
请浏览(2S)-6-氨基-2-[[1-[(4R,7S,10S,13S,16S,19R)-19-氨基-7-(2-氨基-2-氧代乙基)-10-(3-氨基-3-氧代丙基)-16-[(4-羟基苯基)甲基]-6,9,12,15,18-五氧代-13-(苯基甲基)1,2-二硫杂-5,8,11,14,17-五氮杂环二十烷-4-羰基]吡咯烷-2-羰基]氨基]己酸市场分析报告总目录
相关产品
1-[[二(二乙氧基磷酰)-乙基硫基甲基]-乙氧基...  二钠3,4,6-三氯-2-[(2,3,5-三氯-6...  (2E)-2-羟基-2-[(8S,9S,10R,1...  N-(6-乙酰氨基-2-氨基-5-亚硝基嘧啶-4-...  箭毒蛙毒素A,20-alpha-(4,5-二甲基-...  2-氨基-1-甲基吡啶鎓p-甲苯磺酸酯  2-(4-氟苯基)-5-苯基-1,3-恶唑  1-(2-二乙基氨基乙胺)噻吨-9-酮  2,2,2-三氟乙基自由基  1,1,1,2,3,3,4,4,5,5,6,6,7...  氟2-(5-氧代-2H-呋喃-2-基)乙酸酯  1,1,1,2,3,3,4,4,5,5,6,6,7...  (1S,6R,8R,9R)-8-[6-氨基-8-(...  3-(4-羟基苯基)-2-[[2-(苯基甲氧羰基氨...  铅二十二烷酸盐