Online Database of Chemicals from Around the World

铝N-[3-[5,17-二[3-(乙酰基-氧代氨基)丙基]-3,6,9,12,15,18-六氧代-1,4,7,10,13,16-六氮杂十八碳-2-基]丙基]-N-氧代乙酰胺
[CAS# 32506-52-8]

供应商
CAS#: 32506-52-8
产品: 铝N-[3-[5,17-二[3-(乙酰基-氧代氨基)丙基]-3,6,9,12,15,18-六氧代-1,4,7,10,13,16-六氮杂十八碳-2-基]丙基]-N-氧代乙酰胺
暂时没有厂家供应该产品。
基本信息
产品名称 铝N-[3-[5,17-二[3-(乙酰基-氧代氨基)丙基]-3,6,9,12,15,18-六氧代-1,4,7,10,13,16-六氮杂十八碳-2-基]丙基]-N-氧代乙酰胺
英文名 Aluminum N-[3-[5,17-Bis[3-(Acetyl-Oxidoamino)Propyl]-3,6,9,12,15,18-Hexaoxo-1,4,7,10,13,16-Hexazacyclooctadec-2-Yl]Propyl]-N-Oxidoacetamide
别名 Aluminum N-[3-[5,17-Bis[3-(Acetyl-Oxido-Amino)Propyl]-3,6,9,12,15,18-Hexaoxo-1,4,7,10,13,16-Hexazacyclooctadec-2-Yl]Propyl]-N-Oxido-Acetamide; Aluminum N-[3-[5,17-Bis[3-(Acetyl-Oxido-Amino)Propyl]-3,6,9,12,15,18-Hexaketo-1,4,7,10,13,16-Hexazacyclooctadec-2-Yl]Propyl]-N-Oxido-Acetamide; Aluminum N-[3-[5,17-Bis[3-(Ethanoyl-Oxido-Amino)Propyl]-3,6,9,12,15,18-Hexaoxo-1,4,7,10,13,16-Hexazacyclooctadec-2-Yl]Propyl]-N-Oxido-Ethanamide
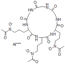
分子结构 CAS 登录号:32506-52-8, 铝N-[3-[5,17-二[3-(乙酰基-氧代氨基)丙基]-3,6,9,12,15,18-六氧代-1,4,7,10,13,16-六氮杂十八碳-2-基]丙基]-N-氧代乙酰胺
分子式 C27H42AlN9O12
分子量 711.66
CAS 登录号 32506-52-8 (32626-39-4)
分子行输入简码 SMILES C(C1NC(=O)C(NC(=O)CNC(=O)CNC(=O)CNC(=O)C(NC1=O)CCCN([O-])C(=O)C)CCCN([O-])C(=O)C)CCN([O-])C(=O)C.[Al+3]
国际化学标识码 InChI 1S/C27H42N9O12.Al/c1-16(37)34(46)10-4-7-19-25(43)30-14-23(41)28-13-22(40)29-15-24(42)31-20(8-5-11-35(47)17(2)38)26(44)33-21(27(45)32-19)9-6-12-36(48)18(3)39;/h19-21H,4-15H2,1-3H3,(H,28,41)(H,29,40)(H,30,43)(H,31,42)(H,32,45)(H,33,44);/q-3;+3
国际化学标识检索码 InChIKey GNWGEUKLYSHYTG-UHFFFAOYSA-N
市场分析报告
请浏览铝N-[3-[5,17-二[3-(乙酰基-氧代氨基)丙基]-3,6,9,12,15,18-六氧代-1,4,7,10,13,16-六氮杂十八碳-2-基]丙基]-N-氧代乙酰胺市场分析报告总目录
相关产品
6-甲基双环[2.2.1]庚烷-6-羧酸  2-[3,3-二(3-叔丁基-4-羟基苯基)丁酰基...  2(3H)-苯并噻唑硫酮铜盐  (4-甲氧基-4-氧代丁基)氯化铵  2-(2-吡咯烷-2-基丙基)-1,3,4-恶二唑  N-(3-二乙基氨基丙基)-4-丙-2-基氧基苯甲...  1-(3-乙酰基-1,3,5,7-四氮杂双环[3....  锌1,2-二甲基咪唑二氯化物  [4-[二(4-二甲基氨基苯基)亚甲基]萘-1-亚...  N-(5-乙酰基-4-甲基-1,3-噻唑-2-基)...  5-(3-硝基苯基)偶氮嘧啶-2,4,6-三胺  5-(2,4-二氯苯基)偶氮嘧啶-2,4,6-三胺  5-萘-2-基偶氮嘧啶-2,4,6-三胺  2-(2-氟乙氧基)萘  三(草酸)二钐