Online Database of Chemicals from Around the World

[7-羟基-2-(3-羟基丁烷-2-基)-12-(5-羟基-4-甲氧基-4,6-二甲基四氢吡喃-2-基)氧基-10-(3-羟基-4-甲氧基-6-甲基四氢吡喃-2-基)氧基-3,5,7,9,11,13-六甲基-6,14-二氧代-1-氧杂环十四碳-4-基]乙酸酯
[CAS# 33955-27-0]

供应商
CAS#: 33955-27-0
产品: [7-羟基-2-(3-羟基丁烷-2-基)-12-(5-羟基-4-甲氧基-4,6-二甲基四氢吡喃-2-基)氧基-10-(3-羟基-4-甲氧基-6-甲基四氢吡喃-2-基)氧基-3,5,7,9,11,13-六甲基-6,14-二氧代-1-氧杂环十四碳-4-基]乙酸酯
暂时没有厂家供应该产品。
基本信息
产品名称 [7-羟基-2-(3-羟基丁烷-2-基)-12-(5-羟基-4-甲氧基-4,6-二甲基四氢吡喃-2-基)氧基-10-(3-羟基-4-甲氧基-6-甲基四氢吡喃-2-基)氧基-3,5,7,9,11,13-六甲基-6,14-二氧代-1-氧杂环十四碳-4-基]乙酸酯
英文名 [7-Hydroxy-2-(3-Hydroxybutan-2-Yl)-12-(5-Hydroxy-4-Methoxy-4,6-Dimethyloxan-2-Yl)Oxy-10-(3-Hydroxy-4-Methoxy-6-Methyloxan-2-Yl)Oxy-3,5,7,9,11,13-Hexamethyl-6,14-Dioxo-1-Oxacyclotetradec-4-Yl] Acetate
别名 [7-Hydroxy-12-(5-Hydroxy-4-Methoxy-4,6-Dimethyl-Tetrahydropyran-2-Yl)Oxy-10-(3-Hydroxy-4-Methoxy-6-Methyl-Tetrahydropyran-2-Yl)Oxy-2-(2-Hydroxy-1-Methyl-Propyl)-3,5,7,9,11,13-Hexamethyl-6,14-Dioxo-1-Oxacyclotetradec-4-Yl] Acetate; Acetic Acid [7-Hydroxy-12-[(5-Hydroxy-4-Methoxy-4,6-Dimethyl-2-Tetrahydropyranyl)Oxy]-10-[(3-Hydroxy-4-Methoxy-6-Methyl-2-Tetrahydropyranyl)Oxy]-2-(2-Hydroxy-1-Methylpropyl)-3,5,7,9,11,13-Hexamethyl-6,14-Dioxo-1-Oxacyclotetradec-4-Yl] Ester; Acetic Acid [7-Hydroxy-12-(5-Hydroxy-4-Methoxy-4,6-Dimethyl-Tetrahydropyran-2-Yl)Oxy-10-(3-Hydroxy-4-Methoxy-6-Methyl-Tetrahydropyran-2-Yl)Oxy-2-(2-Hydroxy-1-Methyl-Propyl)-6,14-Diketo-3,5,7,9,11,13-Hexamethyl-1-Oxacyclotetradec-4-Yl] Ester
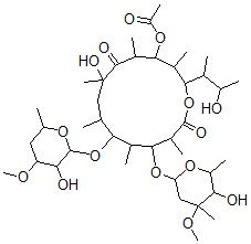
分子结构 CAS 登录号:33955-27-0, [7-羟基-2-(3-羟基丁烷-2-基)-12-(5-羟基-4-甲氧基-4,6-二甲基四氢吡喃-2-基)氧基-10-(3-羟基-4-甲氧基-6-甲基四氢吡喃-2-基)氧基-3,5,7,9,11,13-六甲基-6,14-二氧代-1-氧杂环十四碳-4-基]乙酸酯
分子式 C40H70O15
分子量 790.98
CAS 登录号 33955-27-0
分子行输入简码 SMILES CC3(OC)C(O)C(OC(OC2C(C(OC1OC(CC(OC)C1O)C)C(CC(O)(C(=O)C(C(OC(=O)C)C(C(OC(=O)C2C)C(C(O)C)C)C)C)C)C)C)C3)C
国际化学标识码 InChI 1S/C40H70O15/c1-18-16-39(11,47)35(44)23(6)33(52-27(10)42)22(5)32(20(3)25(8)41)54-37(46)24(7)34(53-29-17-40(12,49-14)36(45)26(9)51-29)21(4)31(18)55-38-30(43)28(48-13)15-19(2)50-38/h18-26,28-34,36,38,41,43,45,47H,15-17H2,1-14H3
国际化学标识检索码 InChIKey XITHDKRNUSLORY-UHFFFAOYSA-N
物理化学性质
密度 1.195g/cm3 (计算值)
沸点 844.047°C at 760 mmHg (计算值)
闪点 242.41°C (计算值)
市场分析报告
请浏览[7-羟基-2-(3-羟基丁烷-2-基)-12-(5-羟基-4-甲氧基-4,6-二甲基四氢吡喃-2-基)氧基-10-(3-羟基-4-甲氧基-6-甲基四氢吡喃-2-基)氧基-3,5,7,9,11,13-六甲基-6,14-二氧代-1-氧杂环十四碳-4-基]乙酸酯市场分析报告总目录
相关产品
N-[1-(2-氯-4,6-二甲基苯基)-5-氧代...  四抗菌素  1-(二甲氧基甲基)-3-硝基苯  1-(二甲氧基甲基)-4-甲基苯  1-(甲氧基甲基)-4-甲基苯  2-甲基癸烷-2-醇  5'-鸟苷酸,聚合物与5'-腺苷酸和5'-尿甙酸  环丁烷-1,2-二甲腈  1,4-二乙基-2,3,5,6-四甲基苯  N,N-二甲基-3-苯基丙-2-烯-1-胺  二氟钨  5-叔丁基-2-羟基环己烷-1-羧酸  1,1,1,2-四氯-2-(2-氟乙氧基)乙烷  3-氯-2-羟基丙腈  十五烷-1,2-二醇