Online Database of Chemicals from Around the World

(2R,3S,4S,5S,6R)-2-[(2R,3R,4S,5S,6R)-3-Hydroxy-2-(Hydroxymethyl)-5,6-Bis[[(2R,3S,4S,5S,6R)-3,4,5-Trihydroxy-6-(Hydroxymethyl)Oxan-2-Yl]Oxy]Oxan-4-Yl]Oxy-6-(Hydroxymethyl)Oxane-3,4,5-Triol
[CAS# 3634-02-4]

Suppliers
CAS#: 3634-02-4
Product: (2R,3S,4S,5S,6R)-2-[(2R,3R,4S,5S,6R)-3-Hydroxy-2-(Hydroxymethyl)-5,6-Bis[[(2R,3S,4S,5S,6R)-3,4,5-Trihydroxy-6-(Hydroxymethyl)Oxan-2-Yl]Oxy]Oxan-4-Yl]Oxy-6-(Hydroxymethyl)Oxane-3,4,5-Triol
No suppilers available for the product.
Identification
Name (2R,3S,4S,5S,6R)-2-[(2R,3R,4S,5S,6R)-3-Hydroxy-2-(Hydroxymethyl)-5,6-Bis[[(2R,3S,4S,5S,6R)-3,4,5-Trihydroxy-6-(Hydroxymethyl)Oxan-2-Yl]Oxy]Oxan-4-Yl]Oxy-6-(Hydroxymethyl)Oxane-3,4,5-Triol
Synonyms (2R,3S,4S,5S,6R)-2-[(2R,3R,4S,5S,6R)-3-Hydroxy-2-(Hydroxymethyl)-5,6-Bis[[(2R,3S,4S,5S,6R)-3,4,5-Trihydroxy-6-(Hydroxymethyl)Tetrahydropyran-2-Yl]Oxy]Tetrahydropyran-4-Yl]Oxy-6-(Hydroxymethyl)Tetrahydropyran-3,4,5-Triol; (2R,3S,4S,5S,6R)-2-[[(2R,3R,4S,5S,6R)-3-Hydroxy-2-(Hydroxymethyl)-5,6-Bis[[(2R,3S,4S,5S,6R)-3,4,5-Trihydroxy-6-(Hydroxymethyl)-2-Tetrahydropyranyl]Oxy]-4-Tetrahydropyranyl]Oxy]-6-(Hydroxymethyl)Tetrahydropyran-3,4,5-Triol; (2R,3S,4S,5S,6R)-2-[(2R,3R,4S,5S,6R)-3-Hydroxy-2-Methylol-5,6-Bis[[(2R,3S,4S,5S,6R)-3,4,5-Trihydroxy-6-Methylol-Tetrahydropyran-2-Yl]Oxy]Tetrahydropyran-4-Yl]Oxy-6-Methylol-Tetrahydropyran-3,4,5-Triol
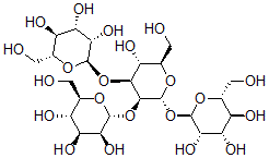
Molecular Structure CAS#: 3634-02-4, (2R,3S,4S,5S,6R)-2-[(2R,3R,4S,5S,6R)-3-Hydroxy-2-(Hydroxymethyl)-5,6-Bis[[(2R,3S,4S,5S,6R)-3,4,5-Trihydroxy-6-(Hydroxymethyl)Oxan-2-Yl]Oxy]Oxan-4-Yl]Oxy-6-(Hydroxymethyl)Oxane-3,4,5-Triol
Molecular Formula C24H42O21
Molecular Weight 666.58
CAS Registry Number 3634-02-4
SMILES [C@H]3(O[C@H]1O[C@@H]([C@@H](O)[C@H](O)[C@@H]1O)CO)[C@@H](O[C@H]2O[C@@H]([C@@H](O)[C@H](O)[C@@H]2O)CO)[C@H](O)[C@H](O[C@@H]3O[C@H]4O[C@@H]([C@@H](O)[C@H](O)[C@@H]4O)CO)CO
InChI 1S/C24H42O21/c25-1-5-9(29)13(33)16(36)21(39-5)43-19-12(32)8(4-28)42-24(45-23-18(38)15(35)11(31)7(3-27)41-23)20(19)44-22-17(37)14(34)10(30)6(2-26)40-22/h5-38H,1-4H2/t5-,6-,7-,8-,9-,10-,11-,12-,13+,14+,15+,16+,17+,18+,19+,20+,21-,22-,23-,24-/m1/s1
InChIKey RNDXVZITNYDUMC-YLYXQHNGSA-N
Properties
Density 1.837g/cm3 (Cal.)
Boiling point 1029.074°C at 760 mmHg (Cal.)
Flash point 576.163°C (Cal.)
Market Analysis Reports
List of Reports Available for (2R,3S,4S,5S,6R)-2-[(2R,3R,4S,5S,6R)-3-Hydroxy-2-(Hydroxymethyl)-5,6-Bis[[(2R,3S,4S,5S,6R)-3,4,5-Trihydroxy-6-(Hydroxymethyl)Oxan-2-Yl]Oxy]Oxan-4-Yl]Oxy-6-(Hydroxymethyl)Oxane-3,4,5-Triol
Related Products
3-(Hexadecylamino)Propanenitrile  1-[4-[4-[1-Hydroxy-2-(4-Methylpiperidin-...  3-Chloro-1-(4-Methoxyphenyl)Pyrrolidine-...  2-(2,6-Dimethylphenoxy)Propyl-Trimethyla...  4-Tert-Butyl-2-[(5-Tert-Butyl-2-Hydroxy-...  Didecyl Pentanedioate  Dihexyl Pentanedioate  2-(Phenoxy)Benzoic Acid  N-(4,6,11-Trioxa-1-Aza-5-Silabicyclo[3.3...  Dipropan-2-Yl 5,5,5-Trichloropentyl Phos...  2-Hydroxybenzoic Acid; N-Propan-2-Ylprop...  2-(2-Sulfanylidene-3H-1,3-Thiazol-4-Yl)A...  Bis(2-Methylpropyl) 2,2,2-Trichloroethyl...  10-Ethyl-N,N,N',N'-Tetramethylacridin-10...  N,N,N',N'-Tetramethyl-10-Propylacridin-1...