Online Database of Chemicals from Around the World

[Bis[2-[Bis[(Hydroxy-Oxophosphaniumyl)Oxymethyl]Amino]Ethyl]Amino]Methoxy-Hydroxy-Oxophosphanium
[CAS# 37107-08-7]

Suppliers
CAS#: 37107-08-7
Product: [Bis[2-[Bis[(Hydroxy-Oxophosphaniumyl)Oxymethyl]Amino]Ethyl]Amino]Methoxy-Hydroxy-Oxophosphanium
No suppilers available for the product.
Identification
Name [Bis[2-[Bis[(Hydroxy-Oxophosphaniumyl)Oxymethyl]Amino]Ethyl]Amino]Methoxy-Hydroxy-Oxophosphanium
Synonyms [Bis[2-[Bis[(Hydroxy-Oxo-Phosphaniumyl)Oxymethyl]Amino]Ethyl]Amino]Methoxy-Hydroxy-Oxo-Phosphonium; [Bis[2-[Bis[(Hydroxy-Oxophosphaniumyl)Oxymethyl]Amino]Ethyl]Amino]Methoxy-Hydroxy-Oxophosphonium; [Bis[2-[Bis[(Hydroxy-Keto-Phosphaniumyl)Oxymethyl]Amino]Ethyl]Amino]Methoxy-Hydroxy-Keto-Phosphonium
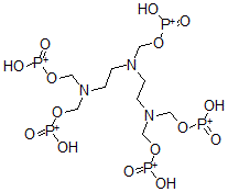
Molecular Structure CAS#: 37107-08-7, [Bis[2-[Bis[(Hydroxy-Oxophosphaniumyl)Oxymethyl]Amino]Ethyl]Amino]Methoxy-Hydroxy-Oxophosphanium
Molecular Formula C9H23N3O15P5
Molecular Weight 568.16
CAS Registry Number 37107-08-7
SMILES C(N(CCN(CO[P+](O)=O)CO[P+](O)=O)CO[P+](O)=O)CN(CO[P+](O)=O)CO[P+](O)=O
InChI 1S/C9H18N3O15P5/c13-28(14)23-5-10(1-3-11(6-24-29(15)16)7-25-30(17)18)2-4-12(8-26-31(19)20)9-27-32(21)22/h1-9H2/p+5
InChIKey PBHXLXJLHCENHW-UHFFFAOYSA-S
Market Analysis Reports
List of Reports Available for [Bis[2-[Bis[(Hydroxy-Oxophosphaniumyl)Oxymethyl]Amino]Ethyl]Amino]Methoxy-Hydroxy-Oxophosphanium
Related Products
N-(2-Dimethylaminoethyl)-2-Hydroxy-N-Met...  2-Hydroxy-N-Methyl-N-(2-Morpholin-4-Ylet...  N-(2-Diethylaminoethyl)-2-Hydroxy-2-Phen...  6-Methyl-1,7-Dihydropurin-2-One  Oxiran-2-Ylmethyl Propanoate  (2,2-Dimethyl-3-Propanoyloxypropyl) Prop...  1,2-Di(Propan-2-Yl)Hydrazine  1,2-Di(Butan-2-Yl)Hydrazine  Trichloro-Nitrosomethane  N-Desmethyladinazolam mesylate  3-[2-(4-Hydroxyphenyl)Ethyl]Phenol  4-(3-Chloro(or hydrazino)-6-hydrazino(or...  N,N'-Dioctylhexanediamide  Benzo[g]Quinoline-5,10-Dione  [(3S,8S,9S,10R,13R,14S,17R)-17-[(2R,5R)-...