基本信息
| 产品分类 |
无机化工 >> 无机盐 >> 金属硫化物及硫酸盐 |
| 产品名称 |
beta-环糊精硫酸化钠盐 |
| 英文名 |
beta-Cyclodextrin, Sulfated Sodium Salt |
| 别名 |
.Beta.-Cyclodextrin,Hydrogensulfate,Sodiumsalt; BETA-CYCLODEXTRIN, SULFATED SODIUM SALT; Β-Cyclodextrin, Sulfated Sodium Salt |
|
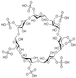
| 分子结构 |
 |
| 分子式 |
C42H70O56S7 |
| 分子量 |
1695.43 |
| CAS 登录号 |
37191-69-8 |
| 分子行输入简码 SMILES |
O[C@H]1[C@@H]2O[C@H]3O[C@H](COS(=O)(=O)O)[C@H]([C@@H]([C@H]3O)O)O[C@H]3O[C@H](COS(=O)(=O)O)[C@H]([C@@H]([C@H]3O)O)O[C@H]3O[C@H](COS(=O)(=O)O)[C@H]([C@@H]([C@H]3O)O)O[C@H]3O[C@@H]([C@@H](O[C@H]4O[C@@H] |
| 国际化学标识码 InChI |
1S/C42H70O56S7/c43-15-22(50)36-85-8(1-78-99(57,58)59)29(15)92-37-23(51)16(44)31(10(86-37)3-80-101(63,64)65)94-39-25(53)18(46)33(12(88-39)5-82-103(69,70)71)96-41-27(55)20(48)35(14(90-41)7-84-105( |
|