Online Database of Chemicals from Around the World

(3S)-3,6-二氨基-N-[[(2S,5S,8Z,11S,15S)-15-氨基-11-[(4R)-2-氨基-3,4,5,6-四氢嘧啶-4-基]-8-[(氨基甲酰氨基)亚甲基]-2-(羟基甲基)-3,6,9,12,16-五氧代-1,4,7,10,13-五氮杂环十六烷-5-基]甲基]己酰胺
[CAS# 37280-35-6]

供应商
CAS#: 37280-35-6
产品: (3S)-3,6-二氨基-N-[[(2S,5S,8Z,11S,15S)-15-氨基-11-[(4R)-2-氨基-3,4,5,6-四氢嘧啶-4-基]-8-[(氨基甲酰氨基)亚甲基]-2-(羟基甲基)-3,6,9,12,16-五氧代-1,4,7,10,13-五氮杂环十六烷-5-基]甲基]己酰胺
暂时没有厂家供应该产品。
基本信息
产品名称 (3S)-3,6-二氨基-N-[[(2S,5S,8Z,11S,15S)-15-氨基-11-[(4R)-2-氨基-3,4,5,6-四氢嘧啶-4-基]-8-[(氨基甲酰氨基)亚甲基]-2-(羟基甲基)-3,6,9,12,16-五氧代-1,4,7,10,13-五氮杂环十六烷-5-基]甲基]己酰胺
英文名 (3S)-3,6-Diamino-N-[[(2S,5S,8Z,11S,15S)-15-Amino-11-[(4R)-2-Amino-3,4,5,6-Tetrahydropyrimidin-4-Yl]-8-[(Carbamoylamino)Methylidene]-2-(Hydroxymethyl)-3,6,9,12,16-Pentaoxo-1,4,7,10,13-Pentazacyclohexadec-5-Yl]Methyl]Hexanamide
别名 (3S)-3,6-Diamino-N-[[(2S,5S,8Z,11S,15S)-15-Amino-11-[(4R)-2-Amino-3,4,5,6-Tetrahydropyrimidin-4-Yl]-2-(Hydroxymethyl)-3,6,9,12,16-Pentaoxo-8-(Ureidomethylene)-1,4,7,10,13-Pentazacyclohexadec-5-Yl]Methyl]Hexanamide; (3S)-3,6-Diamino-N-[[(2S,5S,8Z,11S,15S)-15-Amino-11-[(4R)-2-Amino-3,4,5,6-Tetrahydropyrimidin-4-Yl]-3,6,9,12,16-Pentaketo-2-Methylol-8-(Ureidomethylene)-1,4,7,10,13-Pentazacyclohexadec-5-Yl]Methyl]Hexanamide; (3S)-3,6-Diamino-N-[[(2S,5S,8Z,11S,15S)-15-Amino-8-[(Aminocarbonylamino)Methylidene]-11-[(4R)-2-Amino-3,4,5,6-Tetrahydropyrimidin-4-Yl]-2-(Hydroxymethyl)-3,6,9,12,16-Pentaoxo-1,4,7,10,13-Pentazacyclohexadec-5-Yl]Methyl]Hexanamide
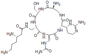
分子结构 CAS 登录号:37280-35-6, (3S)-3,6-二氨基-N-[[(2S,5S,8Z,11S,15S)-15-氨基-11-[(4R)-2-氨基-3,4,5,6-四氢嘧啶-4-基]-8-[(氨基甲酰氨基)亚甲基]-2-(羟基甲基)-3,6,9,12,16-五氧代-1,4,7,10,13-五氮杂环十六烷-5-基]甲基]己酰胺
分子式 C25H44N14O8
分子量 668.71
CAS 登录号 37280-35-6
分子行输入简码 SMILES [C@H]1(NC(=NCC1)N)[C@@H]2NC(=O)\C(NC(=O)[C@@H](NC(=O)[C@@H](NC(=O)[C@@H](N)CNC2=O)CO)CNC(=O)C[C@@H](N)CCCN)=C\NC(=O)N
国际化学标识码 InChI 1S/C25H44N14O8/c26-4-1-2-11(27)6-17(41)32-8-14-20(43)35-15(9-34-25(30)47)21(44)39-18(13-3-5-31-24(29)38-13)23(46)33-7-12(28)19(42)37-16(10-40)22(45)36-14/h9,11-14,16,18,40H,1-8,10,26-28H2,(H,32,41)(H,33,46)(H,35,43)(H,36,45)(H,37,42)(H,39,44)(H3,29,31,38)(H3,30,34,47)/b15-9-/t11-,12-,13+,14-,16-,18-/m0/s1
国际化学标识检索码 InChIKey JNIIDKODPGHQSS-MPSMQSNBSA-N
物理化学性质
密度 1.754g/cm3 (计算值)
市场分析报告
请浏览(3S)-3,6-二氨基-N-[[(2S,5S,8Z,11S,15S)-15-氨基-11-[(4R)-2-氨基-3,4,5,6-四氢嘧啶-4-基]-8-[(氨基甲酰氨基)亚甲基]-2-(羟基甲基)-3,6,9,12,16-五氧代-1,4,7,10,13-五氮杂环十六烷-5-基]甲基]己酰胺市场分析报告总目录
相关产品
3,4-二氨基-N,N-二乙基...  (2S)-2,6-二氨基-N-...  (2S)-2,6-二氨基-N-...  (3S)-3,6-二氨基-N-...  (2S)-2,4-二氨基-N-...  3,6-二氨基-N-[(6E)...  3,6-二氨基-N-[(6E)...  3,6-二氨基-N-[(6Z)...  3,5-二氨基-N-[(E)-...  3,5-二氨基-N-[(E)-...  (3S)-3,6-二氨基-N-...  4,8-二氨基-N-[1-氨基...  (2S)-2,6-二氨基-N-...  3,5-二氨基-N-[氨基-(...  二氨基-N-[N'-(2,4-...  (2S)-2,5-二氨基-N-...  1,8-二氨基萘  2,3-二氨基萘  1,2-二氨基萘  5,6-二氨基萘-1,3-二磺...