Online Database of Chemicals from Around the World

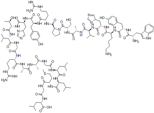
H-Trp-Tyr-Lys-His-Val-Ala-Ser-Pro-Arg-Tyr-His-Thr-Val-Gly-Arg-Ala-Ala-Gly-Leu-Leu-Met-Gly-Leu-OH
[CAS# 383415-79-0]

Suppliers
Alfa Chemistry USA Inquire  
+1 (201) 478-8534
inquiry@alfa-chemistry.com
Chemical distributor since 2012
chemBlink standard supplier since 2012
BOC Sciences USA Inquire  
+1 (631) 485-4226
info@bocsci.com
Skype Chat
Chemical distributor
chemBlink massive supplier since 2012
Biotrend Chemicals AG Switzerland Inquire  
+41 (44) 805-7676
order@biotrend.ch
Chemical manufacturer
International Laboratory Limited USA Inquire  
+1 (650) 278-9963
admin@intlab.org
Chemical manufacturer since 2002
Tocris Bioscience Inc. USA Inquire  
+1 (636) 207-7651
marketing@tocrisusa.com
Chemical manufacturer since 1982
Identification
Name H-Trp-Tyr-Lys-His-Val-Ala-Ser-Pro-Arg-Tyr-His-Thr-Val-Gly-Arg-Ala-Ala-Gly-Leu-Leu-Met-Gly-Leu-OH
Molecular Structure CAS#: 383415-79-0, H-Trp-Tyr-Lys-His-Val-Ala-Ser-Pro-Arg-Tyr-His-Thr-Val-Gly-Arg-Ala-Ala-Gly-Leu-Leu-Met-Gly-Leu-OH
CAS Registry Number 383415-79-0
Safety Data
SDS Available
Market Analysis Reports
List of Reports Available for H-Trp-Tyr-Lys-His-Val-Ala-Ser-Pro-Arg-Tyr-His-Thr-Val-Gly-Arg-Ala-Ala-Gly-Leu-Leu-Met-Gly-Leu-OH
Related Products
Neuropeptide W-30 (Human)  H-Trp-Tyr-Lys-His-Val-Ala-Ser-Pro-Arg-Ty...  Neuropeptide W-30 (Rat)  N'-Nitrosopentyl-(2-Picolyl)Amine  Octyl 2-Acetamido-2-Deoxy-beta-D-Galacto...  N-(7-Oxa-9,9,9-Trifluorononyl)Deoxynojir...  4-(4-Methoxy-Phenoxy)-Benzoic Acid methy...  2-(3-Methyl-L-histidine) luteinizing hor...  (2S,3R)-(+)-4-Dimethylamino-1,2-Diphenyl...  1-Naphthalenol Phenylcarbamate  4-Methylamino-Benzamide  2-Amino-5,6,7,8-Tetrahydro-5-Methyl-4(1H...  2-Amino-5,6,7,8-Tetrahydro-8-Methyl-4(1H...  4-(4,6-Diphenyl-1,3,5-Triazin-2-Yl)-1,3-...  Sodium Heptylate