Online Database of Chemicals from Around the World

6-(4-Dimethylamino-3-hydroxy-6-methyl-oxan-2-yl)oxy-8,14-dihydroxy-5,7,9,12,13,15-hexamethyl-1,11-6-(4-dimethylamino-3-hydroxy-6-methyl-oxan-2-yl)oxy-8,14-dihydroxy-5,7,9,12,13,15-hexamethyl-1,11-dioxaspiro[2.13]hexadecane-10,16-dione
[CAS# 4166-78-3]

Suppliers
CAS#: 4166-78-3
Product: 6-(4-Dimethylamino-3-hydroxy-6-methyl-oxan-2-yl)oxy-8,14-dihydroxy-5,7,9,12,13,15-hexamethyl-1,11-6-(4-dimethylamino-3-hydroxy-6-methyl-oxan-2-yl)oxy-8,14-dihydroxy-5,7,9,12,13,15-hexamethyl-1,11-dioxaspiro[2.13]hexadecane-10,16-dione
No suppilers available for the product.
Identification
Name 6-(4-Dimethylamino-3-hydroxy-6-methyl-oxan-2-yl)oxy-8,14-dihydroxy-5,7,9,12,13,15-hexamethyl-1,11-6-(4-dimethylamino-3-hydroxy-6-methyl-oxan-2-yl)oxy-8,14-dihydroxy-5,7,9,12,13,15-hexamethyl-1,11-dioxaspiro[2.13]hexadecane-10,16-dione
Synonyms 6-(4-Dimethylamino-3-Hydroxy-6-Methyl-Tetrahydropyran-2-Yl)Oxy-8,14-Dihydroxy-5,7,9,12,13,15-Hexamethyl-1,11-Dioxaspiro[2.13]Hexadecane-10,16-Dione; 6-[(4-Dimethylamino-3-Hydroxy-6-Methyl-2-Tetrahydropyranyl)Oxy]-8,14-Dihydroxy-5,7,9,12,13,15-Hexamethyl-1,11-Dioxaspiro[2.13]Hexadecane-10,16-Dione; 6-(4-Dimethylamino-3-Hydroxy-6-Methyl-Tetrahydropyran-2-Yl)Oxy-8,14-Dihydroxy-5,7,9,12,13,15-Hexamethyl-1,11-Dioxaspiro[2.13]Hexadecane-10,16-Quinone
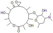
Molecular Structure CAS#: 4166-78-3, 6-(4-Dimethylamino-3-hydroxy-6-methyl-oxan-2-yl)oxy-8,14-dihydroxy-5,7,9,12,13,15-hexamethyl-1,11-6-(4-dimethylamino-3-hydroxy-6-methyl-oxan-2-yl)oxy-8,14-dihydroxy-5,7,9,12,13,15-hexamethyl-1,11-dioxaspiro[2.13]hexadecane-10,16-dione
Molecular Formula C28H49NO9
Molecular Weight 543.70
CAS Registry Number 4166-78-3
SMILES CC3C(=O)C1(OC1)CC(C(OC2OC(CC(N(C)C)C2O)C)C(C(O)C(C(OC(C(C3O)C)C)=O)C)C)C
InChI 1S/C28H49NO9/c1-13-11-28(12-35-28)25(33)17(5)21(30)15(3)19(7)37-26(34)18(6)22(31)16(4)24(13)38-27-23(32)20(29(8)9)10-14(2)36-27/h13-24,27,30-32H,10-12H2,1-9H3
InChIKey NTKKUEDJAPFWRV-UHFFFAOYSA-N
Properties
Density 1.196g/cm3 (Cal.)
Boiling point 707.044°C at 760 mmHg (Cal.)
Flash point 381.407°C (Cal.)
Market Analysis Reports
List of Reports Available for 6-(4-Dimethylamino-3-hydroxy-6-methyl-oxan-2-yl)oxy-8,14-dihydroxy-5,7,9,12,13,15-hexamethyl-1,11-6-(4-dimethylamino-3-hydroxy-6-methyl-oxan-2-yl)oxy-8,14-dihydroxy-5,7,9,12,13,15-hexamethyl-1,11-dioxaspiro[2.13]hexadecane-10,16-dione
Related Products
Sodium O-(4-Hydroxy-3-Iodophenyl)-3,5-Di...  Cadmium 4-(1,1-Dimethylethyl)Benzoate  1,2-Distearoylmonogalactosylglyceride  2-[(Acetylanilino)Vinyl]-3-Ethylnaphth[1...  4-Isobutylphenol  [(25R)-5a-Spirostan-3b-Yl]4-O-(beta-D-Ga...  1-(2-Chloroanilino)-9-Hydroxy-2-Methyl-1...  2,5-Bis(4-Chlorophenylamino)Terephthalic...  3-Ethyl-2-[2-(N-Phenylacetamido)Vinyl]-4...  3-Hydroxy-2,2-Dimethyl-2'-Phenylpropiono...  Ammonium N-Methyl-N-(1-Oxohexadecyl)Amin...  1,2-Dichloro-1-Methoxyethane  Dicyclopentadiene Dioxide  Poly-2-Thiouridylic Acid  Benzo[1,3]Dioxol-5-Ylmethyl-(1-Methyl-Pi...