Online Database of Chemicals from Around the World

N-乙基-N-(1-乙基-4-哌啶基)-N',N'-二甲基-1,2-乙二胺
[CAS# 416864-82-9]

供应商
深圳爱拓化学有限公司 中国 询价快递  
+86 13417589054//+86 13424336463
info@atomaxchem.com,atomax.chemicals@gmail.com,
QQ 交流
化学品生产商
ChemBridge Corporation 美国 询价快递  
+1 (858) 451-7400
sales@chembridge.com
化学品生产商
基本信息
产品名称 N-乙基-N-(1-乙基-4-哌啶基)-N',N'-二甲基-1,2-乙二胺
英文名 N-Ethyl-N-(1-Ethyl-4-Piperidinyl)-N',N'-Dimethyl-1,2-Ethanediamine
别名 N1-ethyl-N1-(1-ethylpiperidin-4-yl)-N2,N2-dimethylethane-1,2-diamine; N-ethyl-N-(1-ethyl-4-piperidinyl)-N',N'-dimethyl-1,2-ethanediamine
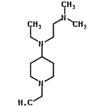
分子结构 CAS 登录号:416864-82-9, N-乙基-N-(1-乙基-4-哌啶基)-N',N'-二甲基-1,2-乙二胺
分子式 C13H29N3
分子量 227.39
CAS 登录号 416864-82-9
分子行输入简码 SMILES N(C1CCN(CC)CC1)(CC)CCN(C)C
国际化学标识码 InChI 1S/C13H29N3/c1-5-15-9-7-13(8-10-15)16(6-2)12-11-14(3)4/h13H,5-12H2,1-4H3
国际化学标识检索码 InChIKey SNYRJEUOPLTRKK-UHFFFAOYSA-N
物理化学性质
密度 0.929g/cm3 (计算值)
沸点 276.175°C at 760 mmHg (计算值)
闪点 104.899°C (计算值)
折射率 1.499 (计算值)
市场分析报告
请浏览N-乙基-N-(1-乙基-4-哌啶基)-N',N'-二甲基-1,2-乙二胺市场分析报告总目录
相关产品
N-(环己基甲基)-3,4-二甲氧基苯胺  1-乙基-4-(1-甲基-4-哌啶基)哌嗪  1-甲基-N-(4-吡啶基甲基)-4-哌啶胺  N-环庚基-1-乙基-4-哌啶胺  4-(1-乙基-4-哌啶基)-1-哌嗪甲醛  N-(2,3-二甲氧基苄基)环庚胺  1-乙基-4-(四氢-3-噻吩基)哌嗪  1-乙基-N-(3-甲氧基丙基)-4-哌啶胺  5-氯-1-甲基-1H-苯并咪唑-7-胺  4-[(2-羟基乙基)磺酰基]-2-硝基苯酚  2-[5-(4-溴苯基)-1H-吡唑-3-基]苯酚  4-{[(Z)-(2,4-二氧代-3-吡咯烷基亚基...  1-[2-(2-溴苯氧基)乙基]-1H-咪唑  (4-氯-5-甲基-2-硝基苯氧基)乙酸  1-[5-甲基-3-(三氟甲基)-1H-吡唑-4-...