Online Database of Chemicals from Around the World

3-[(2-丙炔基)氧基亚氨基甲基]利福霉素 SV
[CAS# 41776-64-1]

供应商
CAS#: 41776-64-1
产品: 3-[(2-丙炔基)氧基亚氨基甲基]利福霉素 SV
暂时没有厂家供应该产品。
基本信息
产品名称 3-[(2-丙炔基)氧基亚氨基甲基]利福霉素 SV
英文名 3-[(2-Propynyl)Oxyiminomethyl]Rifamycin SV
别名 3-Formylrifamycin Sv O-(2-Propynyl)Oxime; Brn 5418320
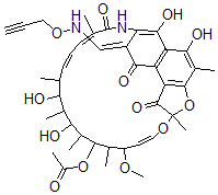
分子结构 CAS 登录号:41776-64-1, 3-[(2-丙炔基)氧基亚氨基甲基]利福霉素 SV
分子式 C41H50N2O13
分子量 778.85
CAS 登录号 41776-64-1
分子行输入简码 SMILES C(ON/C=C2/C(=O)C1=C3C(=C(C4=C1C(=O)C(O/C=C/C(OC)C(C(OC(=O)C)C(C(O)C(C(O)C(C)\C=C\C=C(C(=O)NC2=C3O)\C)C)C)C)(O4)C)C)O)C#C
国际化学标识码 InChI 1S/C41H50N2O13/c1-11-16-54-42-18-26-31-36(49)29-28(35(26)48)30-38(24(7)34(29)47)56-41(9,39(30)50)53-17-15-27(52-10)21(4)37(55-25(8)44)23(6)33(46)22(5)32(45)19(2)13-12-14-20(3)40(51)43-31/h1,12-15,17-19,21-23,27,32-33,37,42,45-47,49H,16H2,2-10H3,(H,43,51)/b13-12+,17-15+,20-14-,26-18+
国际化学标识检索码 InChIKey NMYZYZMBPIYSQB-ZYOMNRCASA-N
市场分析报告
请浏览3-[(2-丙炔基)氧基亚氨基甲基]利福霉素 SV市场分析报告总目录
相关产品
3-(环己基氧基亚氨基甲基)利福霉素 SV  3-[(2-甲氧基乙氧基)亚氨基甲基]利福霉素 S...  3-[(1-甲基己基)氧基亚氨基甲基]利福霉素 S...  2,5-二乙基-2,5-(环氧甲桥)-1,3-二恶...  顶羽菊内酯  反式-3-溴二氢-3,5-二甲基呋喃-2(3H)-...  3-氯-N-甲基丙酰胺  2-N-辛基呋喃  9,12-二氧代十八烷酸  2-(4-二苯并呋喃基氧基)-2-甲基丙酸  2-二苯并呋喃-4-基氧基-2-甲基丙酸乙酯  (1-哌啶-1-基-环己基)-甲胺  4-(2,3-二羟基丙氧基)苯甲酸  [1-(氯甲酰基)环己基]氯化铵  酒石酸二丙酯