|
CAS#: 41970-62-1 产品: 3-[(2-异丙氧基乙氧基)亚氨基甲基]利福霉素 SV 暂时没有厂家供应该产品。 |
| 产品名称 | 3-[(2-异丙氧基乙氧基)亚氨基甲基]利福霉素 SV |
|---|---|
| 英文名 | 3-[(2-Isopropoxyethoxy)Iminomethyl]Rifamycin SV |
| 别名 | 3-Formylrifamycin Sv O-(2-Isopropoxyethyl)Oxime; Brn 5418515 |
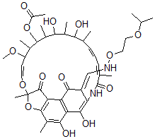
| 分子结构 | ![]() |
| 分子式 | C43H58N2O14 |
| 分子量 | 826.94 |
| CAS 登录号 | 41970-62-1 |
| 分子行输入简码 SMILES | C(ON/C=C2/C(=O)C1=C3C(=C(C4=C1C(=O)C(O/C=C/C(OC)C(C(OC(=O)C)C(C(O)C(C(O)C(C)\C=C\C=C(C(=O)NC2=C3O)\C)C)C)C)(O4)C)C)O)COC(C)C |
| 国际化学标识码 InChI | 1S/C43H58N2O14/c1-20(2)55-17-18-57-44-19-28-33-38(51)31-30(37(28)50)32-40(26(8)36(31)49)59-43(10,41(32)52)56-16-15-29(54-11)23(5)39(58-27(9)46)25(7)35(48)24(6)34(47)21(3)13-12-14-22(4)42(53)45-33/h12-16,19-21,23-25,29,34-35,39,44,47-49,51H,17-18H2,1-11H3,(H,45,53)/b13-12+,16-15+,22-14-,28-19+ |
| 国际化学标识检索码 InChIKey | BNYLZJKVKIHHRZ-CIMIRZFZSA-N |
| 市场分析报告 |
| 请浏览3-[(2-异丙氧基乙氧基)亚氨基甲基]利福霉素 SV市场分析报告总目录 |