Online Database of Chemicals from Around the World

(1Z)-2,2,2-三氯乙脒盐酸盐(1:1)
[CAS# 42563-97-3]

供应商
Achemica 瑞士 询价快递  
+41 (24) 466-2929
contact@achemica.com
化学品生产商(2010 年起)
Princeton BioMolecular Research, Inc. 美国 询价快递  
+1 (732) 355-9920
info@princetonbio.com
化学品生产商(1998 年起)
ZereneX Molecular Ltd. 英国 询价快递  
+44 (1204) 527-700
sales@zerenex-molecular.com
化学品生产商
基本信息
产品名称 (1Z)-2,2,2-三氯乙脒盐酸盐(1:1)
英文名 (1Z)-2,2,2-Trichloroethanimidamide Hydrochloride (1:1)
别名 2,2,2-trichloroacetimidamide hydrochloride,; 2,2,2-trichloroethanimidamide hydrochloride; Trichloroacetamidine hydrochloride
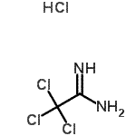
分子结构 CAS 登录号:42563-97-3, (1Z)-2,2,2-三氯乙脒盐酸盐(1:1)
分子式 C2H4Cl4N2
分子量 197.88
CAS 登录号 42563-97-3
分子行输入简码 SMILES Cl.ClC(Cl)(Cl)C(=[N@H])N
国际化学标识码 InChI 1S/C2H3Cl3N2.ClH/c3-2(4,5)1(6)7;/h(H3,6,7);1H
国际化学标识检索码 InChIKey UFUIZPCXYRUNPZ-UHFFFAOYSA-N
物理化学性质
沸点 176°C at 760 mmHg (计算值)
闪点 60.3°C (计算值)
安全数据
SDS 化学品安全技术说明书参考文本
市场分析报告
请浏览(1Z)-2,2,2-三氯乙脒盐酸盐(1:1)市场分析报告总目录
相关产品
N-[(1Z)-2-氨基-1-丙烯-1-基]-L-...  5-氨基-6-羟基-1,3-二氢-2H-苯并咪唑-...  5-(4-甲基-2-硝基苯基)-2-糠醛  4-(3-甲基苯基)-4,5-二氢-1,2,5-噻...  N-(4-氯-3-硝基苯基)-3-氟苯甲酰胺  (1R,2R)-2-氨基环庚醇  2-(4-氟苯基)咪唑并[1,2-a]吡啶-3-甲...  5-氨基-2-[(3-吡啶基甲基)氨基]苯甲酸  5-乙基-3,3-二甲基-6-丙基二氢-2H-吡喃...  N,N-二乙基-2-(2-氧代环戊基)乙酰胺  2-(4-{3-[5-羟基-1-(4-甲基苄基)-...  2-异丙基-1,3,4-三甲基苯  4-溴-5-[(4-氯苯基)硫基]-2-糠醛  乙基(6-甲基-2,4-二氧代-1,2,3,4-四...  4-(1-羟基乙基)-1-环己烯-1-羧酸