Online Database of Chemicals from Around the World

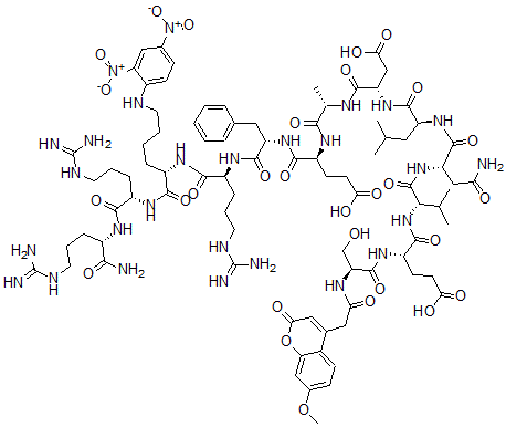
N-[2-(7-甲氧基-2-氧代-2H-1-苯并吡喃-4-基)乙酰基]-L-丝氨酰-L-alpha-谷氨酰-L-缬氨酰-L-天冬氨酰胺酰-L-亮氨酰-L-alpha-天冬氨酰-L-丙氨酰-L-alpha-谷氨酰-L-苯丙氨酰-L-精氨酰-N6-(2,4-二硝基苯基)-L-赖氨酰-L-精氨酰-L-精氨酰胺
[CAS# 438625-61-7]

供应商
Alfa Chemistry 美国 询价快递  
+1 (201) 478-8534
inquiry@alfa-chemistry.com
化学品供销商(2012 年起)
chemBlink 标准供应商(2012 年起)
AnaSpec, Inc. 美国 询价快递  
+1 (800) 452-5530
service@anaspec.com
化学品生产商
BOC Sciences 美国 询价快递  
+1 (631) 485-4226
info@bocsci.com
Skype 聊天
化学品供销商
chemBlink 集群供应商(2012 年起)
Creative Peptides 美国 询价快递  
+1 (631) 624-4882
info@creative-peptides.com
化学品生产商
chemBlink 集群供应商(2016 年起)
International Laboratory Limited 美国 询价快递  
+1 (650) 278-9963
admin@intlab.org
化学品生产商(2002 年起)
基本信息
产品名称 N-[2-(7-甲氧基-2-氧代-2H-1-苯并吡喃-4-基)乙酰基]-L-丝氨酰-L-alpha-谷氨酰-L-缬氨酰-L-天冬氨酰胺酰-L-亮氨酰-L-alpha-天冬氨酰-L-丙氨酰-L-alpha-谷氨酰-L-苯丙氨酰-L-精氨酰-N6-(2,4-二硝基苯基)-L-赖氨酰-L-精氨酰-L-精氨酰胺
英文名 N-[2-(7-Methoxy-2-Oxo-2H-1-Benzopyran-4-Yl)Acetyl]-L-Seryl-L-alpha-Glutamyl-L-Valyl-L-Asparaginyl-L-Leucyl-L-alpha-Aspartyl-L-Alanyl-L-alpha-Glutamyl-L-Phenylalanyl-L-Arginyl-N6-(2,4-Dinitrophenyl)-L-Lysyl-L-Arginyl-L-Argininamide
别名 MCA-(ASN670,LEU671)-AMYLOID BETA/A4 PROTEIN PRECURSOR770 (667-676)-LYS(DNP)-ARG-ARG AMIDE; Mca-Ser-Glu-Val-Asn-Leu-Asp-Ala-Glu-Phe-Lys(Dnp)-NH2 (Mca7-Methoxycoumarin-4-Acetyl); Mca-Asn670,Leu671-Amyloid B/A4 Protein Precursor770: 667-676-Lys: Dnp-Arg-Arg Amide
分子结构 CAS 登录号:438625-61-7, N-[2-(7-甲氧基-2-氧代-2H-1-苯并吡喃-4-基)乙酰基]-L-丝氨酰-L-alpha-谷氨酰-L-缬氨酰-L-天冬氨酰胺酰-L-亮氨酰-L-alpha-天冬氨酰-L-丙氨酰-L-alpha-谷氨酰-L-苯丙氨酰-L-精氨酰-N6-(2,4-二硝基苯基)-L-赖氨酰-L-精氨酰-L-精氨酰胺
分子式 C84H123N27O27
分子量 1943.04
CAS 登录号 438625-61-7
分子行输入简码 SMILES OC[C@@H](C(=O)N[C@H](C(=O)N[C@H](C(=O)N[C@H](C(=O)N[C@H](C(=O)N[C@H](C(=O)N[C@H](C(=O)N[C@H](C(=O)N[C@H](C(=O)N[C@H](C(=O)N[C@H](C(=O)N[C@H](C(=O)N[C@H](C(=O)N)CCCNC(=N)N)CCCNC(=N)N)CCCCNc1ccc(cc1[N+]
国际化学标识码 InChI 1S/C84H123N27O27/c1-41(2)33-56(105-79(131)58(38-63(85)113)108-81(133)68(42(3)4)109-75(127)55(26-28-65(116)117)104-80(132)60(40-112)98-46-21-23-48-43(5)34-67(120)138-62(48)36-46)77(129)107-59(39-
蛋白质序列 Mca-Ser-Glu-Val-Asn-Leu-Asp-Ala-Glu-Phe-Arg-Lys(Dnp)-Arg-Arg-NH2
市场分析报告
请浏览N-[2-(7-甲氧基-2-氧代-2H-1-苯并吡喃-4-基)乙酰基]-L-丝氨酰-L-alpha-谷氨酰-L-缬氨酰-L-天冬氨酰胺酰-L-亮氨酰-L-alpha-天冬氨酰-L-丙氨酰-L-alpha-谷氨酰-L-苯丙氨酰-L-精氨酰-N6-(2,4-二硝基苯基)-L-赖氨酰-L-精氨酰-L-精氨酰胺市场分析报告总目录
相关产品
二(三甲基硅烷基)双酚 A  2-甲基-1,3-二氧戊环-2-丙酸  [[4-氯-2-(羟基甲基)苯基]甲基]-氨基甲酸...  (2E)-(1-甲基-2-咪唑烷基亚基)-乙腈  十八烷-1-14C  还原红 13  6-甲基-吡喃-2-酮  24-94-ChemokineTarc  (2E)-[(1R,4S)-1,3,3-三甲基双环...  (2Z)-[(1R,4S)-1,3,3-三甲基双环...  (2Z)-[(5R)-5-甲基-2-(异亚丙基)环...  4-[(4-甲基-1-哌嗪基)甲基]-苯甲醛  4-(4-溴苯甲酰基)-1-哌啶羧酸叔丁酯  N-(2,3-二氢-1-氧代-1H-异吲哚-5-基...  1-丁基-3-(4-磺基丁基)-1H-咪唑鎓内盐