Online Database of Chemicals from Around the World

N1-[3-(二甲基锍)丙基]-博来霉素酰胺氯化物
[CAS# 49830-49-1]

供应商
Alfa Chemistry 美国 询价快递  
+1 (201) 478-8534
inquiry@alfa-chemistry.com
化学品供销商(2012 年起)
chemBlink 标准供应商(2012 年起)
BOC Sciences 美国 询价快递  
+1 (631) 485-4226
info@bocsci.com
Skype 聊天
化学品供销商
chemBlink 集群供应商(2012 年起)
基本信息
产品名称 N1-[3-(二甲基锍)丙基]-博来霉素酰胺氯化物
英文名 N1-[3-(Dimethylsulfonio)Propyl]-Bleomycinamide Chloride
别名 N(Sup1)-(3-(Dimethylsulfonio)Propyl)-Bleomycinamidchloride; BLEOMYCIN A2, HYDROCHLORIDE; Bleomycin A2-Hcl
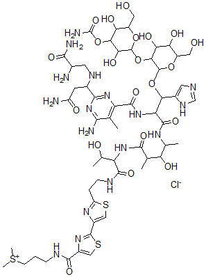
分子结构 CAS 登录号:49830-49-1, N1-[3-(二甲基锍)丙基]-博来霉素酰胺氯化物
分子式 C55H84ClN17O21S3
分子量 1451.00
CAS 登录号 49830-49-1
分子行输入简码 SMILES OCC1OC(O[C@H]([C@@H](C(=O)N[C@@H]([C@H]([C@@H](C(=O)N[C@H](C(=O)NCCc2scc(n2)c2scc(n2)C(=O)NCCC[S+](C)C)[C@H](O)C)C)O)C)NC(=O)c2nc(nc(c2C)N)[C@H](CC(=O)N)NC[C@@H](C(=O)N)N)c2nc[nH]c2)C(C(C1O)O)OC1OC(CO
国际化学标识码 InChI InChI=1S/C55H83N17O21S3.ClH/c1-20-33(69-46(72-44(20)58)25(12-31(57)76)64-13-24(56)45(59)82)50(86)71-35(41(26-14-61-19-65-26)91-54-43(39(80)37(78)29(15-73)90-54)92-53-40(81)42(93-55(60)88)38(79)30(16-7
市场分析报告
请浏览N1-[3-(二甲基锍)丙基]-博来霉素酰胺氯化物市场分析报告总目录
相关产品
2,5-二氢-1-羟基-2,2,5,5-四甲基-1...  1,3-二甲基-6-氰基尿嘧啶  2,3-二氯-N-乙基-苯胺  (+)-3-(3-吡咯烷基)-吡啶  (2S)-四氢-2-呋喃甲酰胺  2,5-二甲基吡啶 1-氧化物  苄索羟铵  5'-[[(3S)-3-氨基-3-羧基丙基]甲基-...  靠曼酸  二[(1,2,3,4,5-H)-1-丁基-2,4-...  3,4-二氢-6-甲氧基-1,2(1H)-异喹啉二...  (4-溴-2-噻吩基)-硼酸  2,1,3-苯并噻二唑-4-基-硼酸  1,2,4-恶二唑-5-羧酸  1-甲基-1H-苯并三唑-5-甲胺