Online Database of Chemicals from Around the World

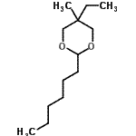
5-Ethyl-2-Hexyl-5-Methyl-1,3-Dioxane
[CAS# 500349-02-0]

Suppliers
Atomax Chemicals Co., Ltd. China Inquire  
+86 13417589054//+86 13424336463
info@atomaxchem.com,atomax.chemicals@gmail.com,
QQ Chat
Chemical manufacturer
Identification
Name 5-Ethyl-2-Hexyl-5-Methyl-1,3-Dioxane
Synonyms 5-Ethyl-2-hexyl-5-methyl-1,3-dioxane; NSC46189
Molecular Structure CAS#: 500349-02-0, 5-Ethyl-2-Hexyl-5-Methyl-1,3-Dioxane
Molecular Formula C13H26O2
Molecular Weight 214.34
CAS Registry Number 500349-02-0
SMILES O1CC(COC1CCCCCC)(C)CC
InChI 1S/C13H26O2/c1-4-6-7-8-9-12-14-10-13(3,5-2)11-15-12/h12H,4-11H2,1-3H3
InChIKey GPVBAJJNHDHWOD-UHFFFAOYSA-N
Properties
Density 0.864g/cm3 (Cal.)
Boiling point 250.399°C at 760 mmHg (Cal.)
Flash point 97.298°C (Cal.)
Refractive index 1.425 (Cal.)
Market Analysis Reports
List of Reports Available for 5-Ethyl-2-Hexyl-5-Methyl-1,3-Dioxane
Related Products
2-Ethyl-5,5-Dimethyl-2-Pentyl-1,3-Dioxan...  2-Amino-6-Methoxy-4-Pyrimidinecarboxylic...  2-Isopropyl-6-Methylbenzenethiol  1-[Phenyl(1-Pyrrolidinyl)Methyl]-2-Napht...  1-[Phenyl(1-Piperidinyl)Methyl]-2-Naphth...  3-(Ethoxymethoxy)Aniline  2-Hydroxy-5-Methyl-3-(3-Methyl-2-Buten-1...  6-Nitroso-2,4,5-Pyrimidinetriamine  5-Ethyl-2,5-Dimethyl-2-Pentyl-1,3-Dioxan...  2-(4-Isopropylphenyl)-1,3-Dioxane  5,5-Diethyl-2-Methyl-2-Pentyl-1,3-Dioxan...  5-Ethyl-2-Hexyl-2,5-Dimethyl-1,3-Dioxane  7-Fluorocinnoline  2-Methyl-6-Sulfanyl-4(1H)-Pyridinone  3-(Dimethylamino)-2,2-Diethyl-1,3-Oxazol...