Online Database of Chemicals from Around the World

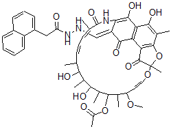
3-[[2-(1-萘基乙酰基)亚肼基]甲基]利福霉素
[CAS# 51707-04-1]

供应商
CAS#: 51707-04-1
产品: 3-[[2-(1-萘基乙酰基)亚肼基]甲基]利福霉素
暂时没有厂家供应该产品。
基本信息
产品名称 3-[[2-(1-萘基乙酰基)亚肼基]甲基]利福霉素
英文名 3-[[2-(1-Naphtylacetyl)Hydrazono]Methyl]Rifamycin
别名 Brn 5403262
分子结构 CAS 登录号:51707-04-1, 3-[[2-(1-萘基乙酰基)亚肼基]甲基]利福霉素
分子式 C50H57N3O13
分子量 908.01
CAS 登录号 51707-04-1
分子行输入简码 SMILES C6=C(CC(=O)NN/C=C2/C(=O)C1=C3C(=C(C4=C1C(=O)C(O/C=C/C(OC)C(C(OC(=O)C)C(C(O)C(C(O)C(C)\C=C\C=C(C(=O)NC2=C3O)\C)C)C)C)(O4)C)C)O)C5=CC=CC=C5C=C6
国际化学标识码 InChI 1S/C50H57N3O13/c1-24-14-12-15-25(2)49(62)52-40-34(23-51-53-36(55)22-32-18-13-17-31-16-10-11-19-33(31)32)44(59)37-38(45(40)60)43(58)29(6)47-39(37)48(61)50(8,66-47)64-21-20-35(63-9)26(3)46(65-30(7)54)28(5)42(57)27(4)41(24)56/h10-21,23-24,26-28,35,41-42,46,51,56-58,60H,22H2,1-9H3,(H,52,62)(H,53,55)/b14-12+,21-20+,25-15-,34-23+
国际化学标识检索码 InChIKey RBWQLWQXAHLGFA-VJXXSDPMSA-N
市场分析报告
请浏览3-[[2-(1-萘基乙酰基)亚肼基]甲基]利福霉素市场分析报告总目录
相关产品
二苯基[alpha-[2-(二甲基氨基)乙基]苄基...  二苯基[alpha-[2-(二乙基氨基)乙基]苄基...  二苯基[alpha-[2-(1-吡咯烷基)乙基]苄...  二苯基[alpha-(2-哌啶乙基)苄基]氧膦  二苯基[alpha-(2-吗啉基乙基)苄基]氧膦  二苯基[alpha-[2-(二甲基氨基)-1-甲基...  7-氯-N-甲基-N-亚硝基-5-苯基-3H-1,...  N,N,N',N'-四甲基-1,6-己二胺  2,2,4,4,5,5,7,7-八甲基辛烷  5-苯基-1H-1,2,3-三唑-4-甲醛  仙客来皂甙元 A  (20S)-3beta,16alpha,28-三羟...  单端孢霉烯  2-(三丙基硅烷基)乙硫醇  4-氧代-1,4-二氢苯并[h]喹啉-3-羧酸