|
CAS#: 52452-77-4 产品: 伊短菌素 A 暂时没有厂家供应该产品。 |
| 产品名称 | 伊短菌素 A |
|---|---|
| 英文名 | Edeine A |
| 别名 | 6-Amino-2-[[3-Amino-2-[[3-[[3-Amino-3-(4-Hydroxyphenyl)Propanoyl]Amino]-2-Hydroxy-Propanoyl]Amino]Propanoyl]Amino]-9-[[2-[3-(4-Aminobutylamino)Propylamino]-2-Oxo-Ethyl]Amino]-7-Hydroxy-9-Oxo-Nonanoic Acid; 6-Amino-2-[[3-Amino-2-[[3-[[3-Amino-3-(4-Hydroxyphenyl)-1-Oxopropyl]Amino]-2-Hydroxy-1-Oxopropyl]Amino]-1-Oxopropyl]Amino]-9-[[2-[3-(4-Aminobutylamino)Propylamino]-2-Oxoethyl]Amino]-7-Hydroxy-9-Oxononanoic Acid; 6-Amino-2-[[3-Amino-2-[[3-[[3-Amino-3-(4-Hydroxyphenyl)Propanoyl]Amino]-2-Hydroxy-Propanoyl]Amino]Propanoyl]Amino]-9-[[2-[3-(4-Aminobutylamino)Propylamino]-2-Keto-Ethyl]Amino]-7-Hydroxy-9-Keto-Pelargonic Acid |
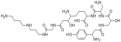
| 分子结构 | ![]() |
| 分子式 | C33H58N10O10 |
| 分子量 | 754.88 |
| CAS 登录号 | 52452-77-4 |
| 分子行输入简码 SMILES | C1=C(C(N)CC(=O)NCC(O)C(=O)NC(C(=O)NC(C(=O)O)CCCC(N)C(O)CC(=O)NCC(=O)NCCCNCCCCN)CN)C=CC(=C1)O |
| 国际化学标识码 InChI | 1S/C33H58N10O10/c34-11-1-2-12-38-13-4-14-39-30(49)19-41-29(48)16-26(45)22(36)5-3-6-24(33(52)53)42-31(50)25(17-35)43-32(51)27(46)18-40-28(47)15-23(37)20-7-9-21(44)10-8-20/h7-10,22-27,38,44-46H,1-6,11-19,34-37H2,(H,39,49)(H,40,47)(H,41,48)(H,42,50)(H,43,51)(H,52,53) |
| 国际化学标识检索码 InChIKey | HENXXJCYASTLGZ-UHFFFAOYSA-N |
| 密度 | 1.304g/cm3 (计算值) |
|---|---|
| 沸点 | 1240.308°C at 760 mmHg (计算值) |
| 闪点 | 703.913°C (计算值) |
| 市场分析报告 |
| 请浏览伊短菌素 A市场分析报告总目录 |