Online Database of Chemicals from Around the World

2-O-(6-Deoxy-alpha-L-Mannopyranosyl)-3-O-(beta-D-Glucopyranosyl)-D-Galactose
[CAS# 528-40-5]

Suppliers
CAS#: 528-40-5
Product: 2-O-(6-Deoxy-alpha-L-Mannopyranosyl)-3-O-(beta-D-Glucopyranosyl)-D-Galactose
No suppilers available for the product.
Identification
Name 2-O-(6-Deoxy-alpha-L-Mannopyranosyl)-3-O-(beta-D-Glucopyranosyl)-D-Galactose
Synonyms (2S,3R,4S,5S,6R)-2-[(3R,4S,5S,6R)-2,5-Dihydroxy-6-(Hydroxymethyl)-3-[(2S,3R,4R,5R,6S)-3,4,5-Trihydroxy-6-Methyl-Tetrahydropyran-2-Yl]Oxy-Tetrahydropyran-4-Yl]Oxy-6-(Hydroxymethyl)Tetrahydropyran-3,4,5-Triol; (2S,3R,4S,5S,6R)-2-[[(3R,4S,5S,6R)-2,5-Dihydroxy-6-(Hydroxymethyl)-3-[[(2S,3R,4R,5R,6S)-3,4,5-Trihydroxy-6-Methyl-2-Tetrahydropyranyl]Oxy]-4-Tetrahydropyranyl]Oxy]-6-(Hydroxymethyl)Tetrahydropyran-3,4,5-Triol; (2S,3R,4S,5S,6R)-2-[(3R,4S,5S,6R)-2,5-Dihydroxy-6-Methylol-3-[(2S,3R,4R,5R,6S)-3,4,5-Trihydroxy-6-Methyl-Tetrahydropyran-2-Yl]Oxy-Tetrahydropyran-4-Yl]Oxy-6-Methylol-Tetrahydropyran-3,4,5-Triol
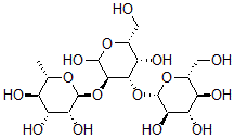
Molecular Structure CAS#: 528-40-5, 2-O-(6-Deoxy-alpha-L-Mannopyranosyl)-3-O-(beta-D-Glucopyranosyl)-D-Galactose
Molecular Formula C18H32O15
Molecular Weight 488.44
CAS Registry Number 528-40-5
SMILES [C@@H]3(O[C@@H]1O[C@@H]([C@@H](O)[C@H](O)[C@H]1O)CO)[C@@H](O[C@@H]2O[C@H]([C@H](O)[C@@H](O)[C@H]2O)C)C(O[C@@H]([C@@H]3O)CO)O
InChI 1S/C18H32O15/c1-4-7(21)10(24)12(26)17(29-4)33-15-14(9(23)6(3-20)30-16(15)28)32-18-13(27)11(25)8(22)5(2-19)31-18/h4-28H,2-3H2,1H3/t4-,5+,6+,7-,8+,9-,10+,11-,12+,13+,14-,15+,16?,17-,18-/m0/s1
InChIKey XNBZPOHDTUWNMW-QVCHUJKCSA-N
Properties
Density 1.735g/cm3 (Cal.)
Boiling point 829.028°C at 760 mmHg (Cal.)
Flash point 455.18°C (Cal.)
Market Analysis Reports
List of Reports Available for 2-O-(6-Deoxy-alpha-L-Mannopyranosyl)-3-O-(beta-D-Glucopyranosyl)-D-Galactose
Related Products
Dimethyl-Phosphinic Acid 1,4-Butanediyl ...  2-Heptylphenol  trans-1-(2,2,6-Trimethylcyclohexyl)Ethan...  (+)-Columbianetin  N-(3,4,5,6-Tetrahydrophthalimido)-Methyl...  2,6,6-Trimethylcyclohexenecarbaldehyde  Phthalonic Acid  Methyl 3-Methylbenzothiazolium Sulphate  3,3'-(Decane-1,10-Diyl)Bisbenzothiazoliu...  Serratamolide  Piperidinium Benzoate  5,6-Dichlorobenzoxazol-2(3H)-One  alpha-(Bromomethyl)Benzyl Propyl Ether  delta9-Tetrahydrocannabinol Hemisuccinat...  Copper Dihydroxybenzoate