Online Database of Chemicals from Around the World

阿扎霉素 F4
[CAS# 52953-57-8]

供应商
CAS#: 52953-57-8
产品: 阿扎霉素 F4
暂时没有厂家供应该产品。
基本信息
产品名称 阿扎霉素 F4
英文名 Azalomycin F4
别名 3-[[(13E,15E,21Z,23E)-1,3,7,9,11,25,27,31,35,36-Decahydroxy-4,8,12,16,20,24-Hexamethyl-19-[(E)-10-[(N'-Methylcarbamimidoyl)Amino]Dec-6-En-2-Yl]-17-Oxo-18,37-Dioxabicyclo[31.3.1]Heptatriaconta-13,15,21,23-Tetraen-29-Yl]Oxy]-3-Oxopropanoic Acid; 3-[[(13E,15E,21E,23E)-1,3,7,9,11,25,27,31,35,36-Decahydroxy-4,8,12,16,20,24-Hexamethyl-19-[(E)-10-[(N'-Methylcarbamimidoyl)Amino]Dec-6-En-2-Yl]-17-Oxo-18,37-Dioxabicyclo[31.3.1]Heptatriaconta-13,15,21,23-Tetraen-29-Yl]Oxy]-3-Oxopropanoic Acid; 3-[[1,3,7,9,11,25,27,31,35,36-Decahydroxy-4,8,12,16,20,24-Hexamethyl-19-[(E)-1-Methyl-9-[(N'-Methylcarbamimidoyl)Amino]Non-5-Enyl]-17-Oxo-18,37-Dioxabicyclo[31.3.1]Heptatriaconta-13,15,21,23-Tetraen-29-Yl]Oxy]-3-Oxo-Propanoic Acid
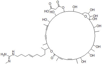
分子结构 CAS 登录号:52953-57-8, 阿扎霉素 F4
分子式 C56H95N3O17
分子量 1082.38
CAS 登录号 52953-57-8
分子行输入简码 SMILES C(C(OC2CC(O)CC1OC(O)(C(O)C(O)C1)CC(O)C(CCC(O)C(C(O)CC(O)C(C)\C=C\C=C(C(OC(C(CCC\C=C\CCCNC(N)=NC)C)C(/C=C\C=C(C(O)CC(O)C2)/C)C)=O)/C)C)C)=O)C(O)=O
国际化学标识码 InChI 1S/C56H95N3O17/c1-33-18-15-20-37(5)52(36(4)17-13-11-9-10-12-14-24-59-55(57)58-8)75-54(72)38(6)21-16-19-34(2)46(64)30-47(65)39(7)44(62)23-22-35(3)49(67)32-56(73)53(71)48(66)29-43(76-56)27-40(60)25-42(26-41(61)28-45(33)63)74-51(70)31-50(68)69/h9-10,15-16,18-21,34-37,39-49,52-53,60-67,71,73H,11-14,17,22-32H2,1-8H3,(H,68,69)(H3,57,58,59)/b10-9+,19-16+,20-15-,33-18+,38-21+
国际化学标识检索码 InChIKey VVTOEWSNSYMJKD-SKQNMGSQSA-N
市场分析报告
请浏览阿扎霉素 F4市场分析报告总目录
相关产品
2-溴-3-甲氧基丙烯醛  内-双环[2.2.1]庚烷-2-甲酰胺  反式-7-癸烯醇  9,10-十四碳烯醇  4,6-二乙基间苯二酚  2,2',2'',2'''-[1,4-二噻烷-2,...  2,2'-((3,3'-二甲氧基(1,1'-联苯)...  2-[(2,6-二甲基苯氧基)甲基]环氧乙烷  (3S)-N-乙基-1-(9H-氧杂蒽-9-基)-...  (3R)-N-乙基-1-(9H-氧杂蒽-9-基)-...  (3R)-1-(二苯基甲基)-N-乙基-3-吡咯烷...  (R)-6,7-二氢-3,6-二甲基苯并呋喃-4(...  (3S)-N-乙基-1-(二苯基甲基)-3-吡咯烷...  5,5-二甲基-2-(alpha-乙氧基苄基)-2...  2-(3,4-二氯-alpha-乙氧基苄基)-5,...