Online Database of Chemicals from Around the World

Saparal
[CAS# 54692-41-0]

Suppliers
CAS#: 54692-41-0
Product: Saparal
No suppilers available for the product.
Identification
Name Saparal
Synonyms (2S,3S,4S,5R)-6-[[(3S,4Ar,6Ar,6Bs,8As,12As,14Ar,14Br)-4,4,6A,6B,11,11,14B-Heptamethyl-8A-[(3S,4R,5R,6S)-3,4,5-Trihydroxy-6-(Hydroxymethyl)Tetrahydropyran-2-Yl]Oxycarbonyl-1,2,3,4A,5,6,7,8,9,10,12,12A,14,14A-Tetradecahydropicen-3-Yl]Oxy]-3,4,5-Trihydroxy-Tetrahydropyran-2-Carboxylic Acid; (2S,3S,4S,5R)-6-[[(3S,4Ar,6Ar,6Bs,8As,12As,14Ar,14Br)-4,4,6A,6B,11,11,14B-Heptamethyl-8A-[Oxo-[[(3S,4R,5R,6S)-3,4,5-Trihydroxy-6-(Hydroxymethyl)-2-Tetrahydropyranyl]Oxy]Methyl]-1,2,3,4A,5,6,7,8,9,10,12,12A,14,14A-Tetradecahydropicen-3-Yl]Oxy]-3,4,5-Trihydroxy-2-Tetrahydropyrancarboxylic Acid; (2S,3S,4S,5R)-6-[[(3S,4Ar,6Ar,6Bs,8As,12As,14Ar,14Br)-4,4,6A,6B,11,11,14B-Heptamethyl-8A-[(3S,4R,5R,6S)-3,4,5-Trihydroxy-6-Methylol-Tetrahydropyran-2-Yl]Oxycarbonyl-1,2,3,4A,5,6,7,8,9,10,12,12A,14,14A-Tetradecahydropicen-3-Yl]Oxy]-3,4,5-Trihydroxy-Tetrahydropyran-2-Carboxylic Acid
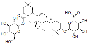
Molecular Structure CAS#: 54692-41-0, Saparal
Molecular Formula C42H66O14
Molecular Weight 794.98
CAS Registry Number 54692-41-0
SMILES [C@@H]15[C@]([C@]2(C(=CC1)[C@H]4[C@](CC2)(C(OC3O[C@H]([C@H](O)[C@@H](O)[C@@H]3O)CO)=O)CCC(C4)(C)C)C)(CC[C@@H]7[C@@]5(CC[C@H](OC6O[C@@H]([C@@H](O)[C@H](O)[C@H]6O)C(=O)O)C7(C)C)C)C
InChI 1S/C42H66O14/c1-37(2)14-16-42(36(52)56-34-30(48)27(45)26(44)22(19-43)53-34)17-15-40(6)20(21(42)18-37)8-9-24-39(5)12-11-25(38(3,4)23(39)10-13-41(24,40)7)54-35-31(49)28(46)29(47)32(55-35)33(50)51/h8,21-32,34-35,43-49H,9-19H2,1-7H3,(H,50,51)/t21-,22-,23-,24+,25-,26-,27+,28-,29-,30-,31+,32-,34?,35?,39-,40+,41+,42-/m0/s1
InChIKey YOSRLTNUOCHBEA-ATLBLLJHSA-N
Properties
Density 1.372g/cm3 (Cal.)
Boiling point 873.286°C at 760 mmHg (Cal.)
Flash point 255.646°C (Cal.)
Market Analysis Reports
List of Reports Available for Saparal
Related Products
Methyl 2,3-Dibromobutanoate  Methyl-Oxirane Polymer With Oxirane Mono...  (E)-2-Propylbut-2-Enedioic Acid  2-Bromocyclohexane-1-Carboxylic Acid  (1S,2S)-2-Chlorocyclohexane-1-Carboxylic...  (3E)-1-Bromo-3-Hydroxyimino-5-Phenyl-Pyr...  (E)-2-Benzylbut-2-Enedioic Acid  2-(2-Methylbenzoyl)Benzoic Acid  1,4,5-Triphenylpyrrolidine-2,3-Dione  3-[4-(4-Bromophenyl)-5-Phenyl-3H-Imidazo...  1,5-Diphenylpyrrolidin-2-One  Ethyl 4,5-Dioxo-1,2-Diphenyl-Pyrrolidine...  3,4,5,6-Tetrahydroxy-1-[(4-Methylphenyl)...  2,3,4,5-Tetraacetyloxyhexanedioic Acid  5-Nitrofuran-2-Carbohydrazide