Online Database of Chemicals from Around the World

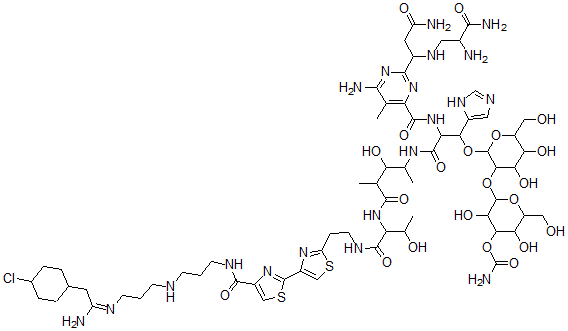
N(1)-(3-((3-((2-(4-氯环己基)-1-亚氨基乙基)氨基)丙基)氨基)丙基)-博来霉素酰胺
[CAS# 58071-32-2]

供应商
CAS#: 58071-32-2
产品: N(1)-(3-((3-((2-(4-氯环己基)-1-亚氨基乙基)氨基)丙基)氨基)丙基)-博来霉素酰胺
暂时没有厂家供应该产品。
基本信息
产品名称 N(1)-(3-((3-((2-(4-氯环己基)-1-亚氨基乙基)氨基)丙基)氨基)丙基)-博来霉素酰胺
英文名 N(1)-(3-((3-((2-(4-Chlorocyclohexyl)-1-Iminoethyl) Amino)Propyl)Amino)Propyl)-Bleomycinamide
别名 Antibiotic A 5196; Bleomycin A5196; Bleomycin-A5196
分子结构 CAS 登录号:58071-32-2, N(1)-(3-((3-((2-(4-氯环己基)-1-亚氨基乙基)氨基)丙基)氨基)丙基)-博来霉素酰胺
分子式 C64H99ClN20O21S2
分子量 1584.18
CAS 登录号 58071-32-2
分子行输入简码 SMILES C1=C([NH]C=N1)C(OC2OC(C(O)C(O)C2OC3OC(C(O)C(OC(=O)N)C3O)CO)CO)C(NC(=O)C4=C(C(=NC(=N4)C(NCC(N)C(=O)N)CC(=O)N)N)C)C(=O)NC(C(O)C(C)C(=O)NC(C(O)C)C(=O)NCCC5=NC(=CS5)C6=NC(=CS6)C(=O)NCCCNCCCN=C(N)CC7CCC(Cl)CC7)C
国际化学标识码 InChI 1S/C64H99ClN20O21S2/c1-26-42(82-55(85-53(26)69)33(18-40(68)89)77-19-32(66)54(70)95)59(99)84-44(50(34-20-73-25-78-34)104-63-52(48(93)46(91)37(21-86)103-63)105-62-49(94)51(106-64(71)101)47(92)38(22-87)102-62)60(100)79-28(3)45(90)27(2)56(96)83-43(29(4)88)58(98)76-16-11-41-80-36(24-107-41)61-81-35(23-108-61)57(97)75-15-6-13-72-12-5-14-74-39(67)17-30-7-9-31(65)10-8-30/h20,23-25,27-33,37-38,43-52,62-63,72,77,86-88,90-94H,5-19,21-22,66H2,1-4H3,(H2,67,74)(H2,68,89)(H2,70,95)(H2,71,101)(H,73,78)(H,75,97)(H,76,98)(H,79,100)(H,83,96)(H,84,99)(H2,69,82,85)
国际化学标识检索码 InChIKey IPUPASGXCCCXGQ-UHFFFAOYSA-N
物理化学性质
密度 1.711g/cm3 (计算值)
市场分析报告
请浏览N(1)-(3-((3-((2-(4-氯环己基)-1-亚氨基乙基)氨基)丙基)氨基)丙基)-博来霉素酰胺市场分析报告总目录
相关产品
3-(4-琥珀酰氨基丁基氨基)丙基氨基博来霉素  (2alpha,6alpha,11R*)-3-苄基...  4-(十二烷氧基)苯磺酰氯  1,1-二氯-2-氧代-2-对甲苯基乙基硫氰酸酯  4,4'-亚甲基二(6-氯邻甲酚)  5alpha-胆甾烷-3beta-醇苯甲酸酯  N2-(叔丁氧羰基)-N6-[[2-(甲基磺酰基)...  3,7-二(二乙基氨基)吩噻嗪-5-鎓  2-羟基-5-壬基二苯甲酮  3,5-二壬基酚  原乙酰基杂色曲霉毒素  1,2,3a,12c-四氢-8-羟基-6-甲氧基-...  (3aR,12cS)-3a,12c-二氢-6,8-...  (2-羟基三亚甲基)二(三甲基铵)二溴化物  3-环己基-5-[4-(3-乙基-4,5-二苯基恶...