Online Database of Chemicals from Around the World

Antibiotic 38295
[CAS# 59149-05-2]

Suppliers
CAS#: 59149-05-2
Product: Antibiotic 38295
No suppilers available for the product.
Identification
Name Antibiotic 38295
Synonyms 2-[(2S,4R,5R,6R)-4-Hydroxy-6-[(1R)-1-[(7S,9R,10R)-2-[5-[5-[(3S,4S,5R,6S)-6-Hydroxy-4-Methoxy-3,5,6-Trimethyl-Tetrahydropyran-2-Yl]Tetrahydrofuran-2-Yl]-5-Methyl-Tetrahydrofuran-2-Yl]-9-Methoxy-2,7,10-Trimethyl-1,6-Dioxaspiro[4.5]Decan-7-Yl]Ethyl]-5-[(2S,5S,6R)-5-Methoxy-6-Methyl-Tetrahydropyran-2-Yl]Oxy-5-Methyl-Tetrahydropyran-2-Yl]Propaneperoxoic Acid; 2-[(2S,4R,5R,6R)-4-Hydroxy-6-[(1R)-1-[(7S,9R,10R)-2-[5-[5-[(3S,4S,5R,6S)-6-Hydroxy-4-Methoxy-3,5,6-Trimethyl-2-Tetrahydropyranyl]-2-Tetrahydrofuranyl]-5-Methyl-2-Tetrahydrofuranyl]-9-Methoxy-2,7,10-Trimethyl-1,6-Dioxaspiro[4.5]Decan-7-Yl]Ethyl]-5-[[(2S,5S,6R)-5-Methoxy-6-Methyl-2-Tetrahydropyranyl]Oxy]-5-Methyl-2-Tetrahydropyranyl]Propaneperoxoic Acid; 2-[(2S,4R,5R,6R)-4-Hydroxy-6-[(1R)-1-[(7S,9R,10R)-2-[5-[5-[(3S,4S,5R,6S)-6-Hydroxy-4-Methoxy-3,5,6-Trimethyl-Tetrahydropyran-2-Yl]Tetrahydrofuran-2-Yl]-5-Methyl-Tetrahydrofuran-2-Yl]-9-Methoxy-2,7,10-Trimethyl-1,6-Dioxaspiro[4.5]Decan-7-Yl]Ethyl]-5-[(2S,5S,6R)-5-Methoxy-6-Methyl-Tetrahydropyran-2-Yl]Oxy-5-Methyl-Tetrahydropyran-2-Yl]Peroxypropionic Acid
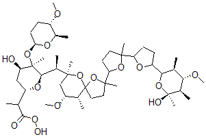
Molecular Structure CAS#: 59149-05-2, Antibiotic 38295
Molecular Formula C48H82O16
Molecular Weight 915.17
CAS Registry Number 59149-05-2
SMILES [C@@H]1(O[C@@H](C[C@@H](O)[C@]1(O[C@@H]2O[C@@H]([C@@H](OC)CC2)C)C)C(C(OO)=O)C)[C@H]([C@]7(OC6(OC(C3OC(CC3)(C5OC(C4O[C@](O)([C@@H]([C@@H](OC)[C@@H]4C)C)C)CC5)C)(CC6)C)[C@@H]([C@H](OC)C7)C)C)C
InChI 1S/C48H82O16/c1-25(42(50)62-52)33-23-35(49)46(10,60-38-18-16-31(53-12)30(6)56-38)41(58-33)29(5)45(9)24-34(54-13)27(3)48(64-45)22-21-44(8,63-48)37-19-20-43(7,59-37)36-17-15-32(57-36)40-26(2)39(55-14)28(4)47(11,51)61-40/h25-41,49,51-52H,15-24H2,1-14H3/t25?,26-,27+,28+,29+,30+,31-,32?,33-,34+,35+,36?,37?,38-,39-,40?,41+,43?,44?,45-,46+,47-,48?/m0/s1
InChIKey IQVROGAJHRXENX-HXLMOCOFSA-N
Properties
Density 1.223g/cm3 (Cal.)
Boiling point 877.752°C at 760 mmHg (Cal.)
Flash point 242.085°C (Cal.)
Market Analysis Reports
List of Reports Available for Antibiotic 38295
Related Products
N-(3-Hydroxyphenyl)Benzenesulphonamide  2-[(3-Aminophenyl)Methylene]Butyric Acid  Octahydro-7a,8,8-Trimethyl-1,5-Methano-1...  Ethyl 3-Bromo-2-Methylpropionate  Sodium 2-[4-[[2,4-Dihydroxy-3-(Phenylazo...  2,3,4,9-Tetrahydro-2-methyl-1H-Pyrido[3,...  N-Boc-Gly-Trp-Met-Asp-Phe Amide  2-Ethylhexyl 12-Ethyl-5-[[3-[(2-Ethylhex...  3beta-(Benzoyloxy)Stigmast-5-En-7-One  Calcium Diisovalerate  Ethyl Butylcarbamate  Methylcarbamylethyl acrylate  3,4,5,6,7,8,9,10-Octahydro-7,14,16-Trihy...  Gardimycin  6-Fluorohexanoic Acid 2-Fluoroethyl Este...