| Abacipharm Corporation | 美国 | 询价快递 | ||
|---|---|---|---|---|
![]() |
+1 (410) 417-5545 | |||
![]() |
sales@abacipharm.com | |||
| 化学品生产商 | ||||
| Alfa Chemistry | 美国 | 询价快递 | ||
|---|---|---|---|---|
![]() |
+1 (201) 478-8534 | |||
![]() |
inquiry@alfa-chemistry.com | |||
| 化学品供销商(2012 年起) | ||||
| Glentham Life Sciences | 英国 | 询价快递 | ||
|---|---|---|---|---|
![]() |
+44 (2033) 978-798 | |||
![]() |
info@glenthamls.com | |||
| 化学品供销商(2013 年起) | ||||
| Santa Cruz Biotechnology, Inc. | 美国 | 询价快递 | ||
|---|---|---|---|---|
![]() |
+1 (831) 457-3800 | |||
![]() |
scbt@scbt.com | |||
| 化学品生产商 | ||||
| Sigma-Aldrich, Inc. | 美国 | 询价快递 | ||
|---|---|---|---|---|
![]() |
+86 (21) 6141-5566 / 800-819-3336 | |||
![]() |
ordercn@sial.com, | |||
| 化学品生产商(1992 年起) | ||||
| TimTec | 美国 | 询价快递 | ||
|---|---|---|---|---|
![]() |
+1 (302) 292-8500 | |||
![]() |
info@timtec.com | |||
| 化学品生产商 | ||||
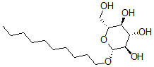
| 产品名称 | (2R,3R,4S,5R,6R)-2-癸氧基-6-(羟基甲基)四氢吡喃-3,4,5-三醇 |
|---|---|
| 英文名 | (2R,3R,4S,5R,6R)-2-Decoxy-6-(Hydroxymethyl)Oxane-3,4,5-Triol |
| 别名 | (2R,3R,4S,5S,6R)-2-Decoxy-6-(Hydroxymethyl)Tetrahydropyran-3,4,5-Triol; (2R,3R,4S,5S,6R)-2-Decoxy-6-Methylol-Tetrahydropyran-3,4,5-Triol; Triton X 190 |
| 分子结构 | ![]() |
| 分子式 | C16H32O6 |
| 分子量 | 320.43 |
| CAS 登录号 | 59947-99-8 |
| 分子行输入简码 SMILES | [C@@H]1(O)[C@@H](O)[C@@H](O[C@@H]([C@H]1O)CO)OCCCCCCCCCC |
| 国际化学标识码 InChI | 1S/C16H32O6/c1-2-3-4-5-6-7-8-9-10-21-16-15(20)14(19)13(18)12(11-17)22-16/h12-20H,2-11H2,1H3/t12-,13-,14+,15-,16-/m1/s1 |
| 国际化学标识检索码 InChIKey | JDRSMPFHFNXQRB-IBEHDNSVSA-N |
| 密度 | 1.15g/cm3 (计算值) |
|---|---|
| 沸点 | 476.538°C at 760 mmHg (计算值) |
| 闪点 | 242.002°C (计算值) |
| 市场分析报告 |
| 请浏览(2R,3R,4S,5R,6R)-2-癸氧基-6-(羟基甲基)四氢吡喃-3,4,5-三醇市场分析报告总目录 |