Online Database of Chemicals from Around the World

生长抑素 SS-1
[CAS# 59983-96-9]

供应商
CAS#: 59983-96-9
产品: 生长抑素 SS-1
暂时没有厂家供应该产品。
基本信息
产品名称 生长抑素 SS-1
英文名 Somatostatin SS-1
别名 Growth Hormone-Release Inhibiting Factor (Sheep Reduced), 3-(L-Threo-2,7-Diaminooctanedioic Acid)-14-De-L-Cysteine-, Cyclic (13-3)-Peptide; Somatostatin Ss-1
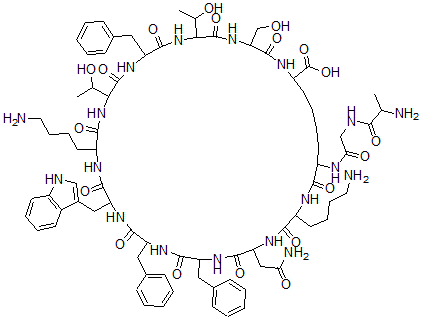
分子结构 CAS 登录号:59983-96-9, 生长抑素 SS-1
分子式 C78H108N18O19
分子量 1601.82
CAS 登录号 59983-96-9
分子行输入简码 SMILES C6=C(CC1C(=O)NC(C(NC(C(=O)NC(C(=O)NC(C(O)C)C(=O)NC(C(=O)NC(C(=O)NC(C(=O)NC(CCCCC(C(=O)NC(CCCCN)C(=O)NC(C(=O)N1)CC(=O)N)NC(=O)CNC(=O)C(N)C)C(O)=O)CO)C(O)C)CC2=CC=CC=C2)CCCCN)CC3=C[NH]C4=C3C=CC=C4)=O)CC5=CC=CC=C5)C=CC=C6
国际化学标识码 InChI 1S/C78H108N18O19/c1-43(81)66(102)84-41-63(101)85-52-29-15-16-32-55(78(114)115)88-75(111)61(42-97)94-77(113)65(45(3)99)96-74(110)58(37-48-25-11-6-12-26-48)93-76(112)64(44(2)98)95-69(105)54(31-18-20-34-80)87-72(108)59(38-49-40-83-51-28-14-13-27-50(49)51)91-71(107)57(36-47-23-9-5-10-24-47)89-70(106)56(35-46-21-7-4-8-22-46)90-73(109)60(39-62(82)100)92-68(104)53(86-67(52)103)30-17-19-33-79/h4-14,21-28,40,43-45,52-61,64-65,83,97-99H,15-20,29-39,41-42,79-81H2,1-3H3,(H2,82,100)(H,84,102)(H,85,101)(H,86,103)(H,87,108)(H,88,111)(H,89,106)(H,90,109)(H,91,107)(H,92,104)(H,93,112)(H,94,113)(H,95,105)(H,96,110)(H,114,115)
国际化学标识检索码 InChIKey CCWNWQAFNNLKTG-UHFFFAOYSA-N
物理化学性质
密度 1.39g/cm3 (计算值)
沸点 1937.8°C at 760 mmHg (计算值)
闪点 1125.8°C (计算值)
市场分析报告
请浏览生长抑素 SS-1市场分析报告总目录
相关产品
12-羟基-5,8,10,14-二十碳四烯酸  N-(对甲苯基)对甲苯磺酰胺  (Z)-(3-氯-2-羟基-5-壬基苯基)苯基甲酮...  N-[4-[(3-丙酰基氨基-9-吖啶基)氨基]苯...  N-[4-[(3-丁酰基氨基-9-吖啶基)氨基]苯...  1-[(4-氨基-2-丙基-5-嘧啶基)甲基]-2...  1-脒基-3-(3-羧基丙基)脲  (1a,6b,14a,16b)-20-乙基-1,1...  5,6-二甲基-2-苯并呋喃-1,3-二酮  (R)-苯丙香豆素  N-(3-氨基苯基)-3-氧代丁酰胺单盐酸盐  2-(4-氨基苯基)-2,4-二氢-5-甲基-3H...  21-羟基无羁萜烷-3-酮  1,1,1-三氯-2,2-二乙氧基乙烷  1,3,3A,4,7,7alpha-六氢-1,3-...