Online Database of Chemicals from Around the World

2-甲基异柠檬酸
[CAS# 6061-95-6]

供应商
BOC Sciences 美国 询价快递  
+1 (631) 485-4226
info@bocsci.com
Skype 聊天
化学品供销商
chemBlink 集群供应商(2012 年起)
基本信息
产品名称 2-甲基异柠檬酸
英文名 2-Methylisocitric acid
别名 (2R,3S)2-Methylisocitrate; Cpd-618; 1,2,3-Butanetricarboxylic Acid, 3-Hydroxy-
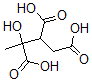
分子结构 CAS 登录号:6061-95-6, 2-甲基异柠檬酸
分子式 C7H10O7
分子量 206.15
CAS 登录号 6061-95-6
分子行输入简码 SMILES C(C(C(O)(C)C(O)=O)C(O)=O)C(O)=O
国际化学标识码 InChI 1S/C7H10O7/c1-7(14,6(12)13)3(5(10)11)2-4(8)9/h3,14H,2H2,1H3,(H,8,9)(H,10,11)(H,12,13)
国际化学标识检索码 InChIKey HHKPKXCSHMJWCF-UHFFFAOYSA-N
物理化学性质
密度 1.638g/cm3 (计算值)
沸点 330.982°C at 760 mmHg (计算值)
闪点 168.18°C (计算值)
市场分析报告
请浏览2-甲基异柠檬酸市场分析报告总目录
相关产品
(1R,2S)-1-羟基丙烷-1,2,3-三羧酸  2-羟基间苯二甲酸  [2-[(8S,9S,10R,11S,13S,14...  N-乙酰基普鲁卡因  小堆心菊素  4-(4-氯-O-甲苯氧基)丁酸钠  2,2-二[[(2-己基-1-氧代癸基)氧基]甲基...  [2-(三乙氧基硅烷基)乙基]乙烯基醚  二苯基十三烷基亚磷酸酯  alpha,alpha,1-三甲基-2-硝基-1H...  隆巴唑  6,8-二硝基-1H-喹唑啉-2,4-二酮  2-(2-溴乙氧基)苯甲醛  4,4'-(3-氨基亚丙基)二苯胺  2-溴-10-[2-(1-甲基-2-哌啶基)乙基]...