Online Database of Chemicals from Around the World

海葵毒素 A
[CAS# 60880-63-9]

供应商
Alfa Chemistry 美国 询价快递  
+1 (201) 478-8534
inquiry@alfa-chemistry.com
化学品供销商(2012 年起)
chemBlink 标准供应商(2012 年起)
Creative Peptides 美国 询价快递  
+1 (631) 624-4882
info@creative-peptides.com
化学品生产商
chemBlink 集群供应商(2016 年起)
Glentham Life Sciences 英国 询价快递  
+44 (2033) 978-798
info@glenthamls.com
化学品供销商(2013 年起)
International Laboratory Limited 美国 询价快递  
+1 (650) 278-9963
admin@intlab.org
化学品生产商(2002 年起)
基本信息
产品名称 海葵毒素 A
英文名 Anthopleurin A
别名 Anthopleurin-A
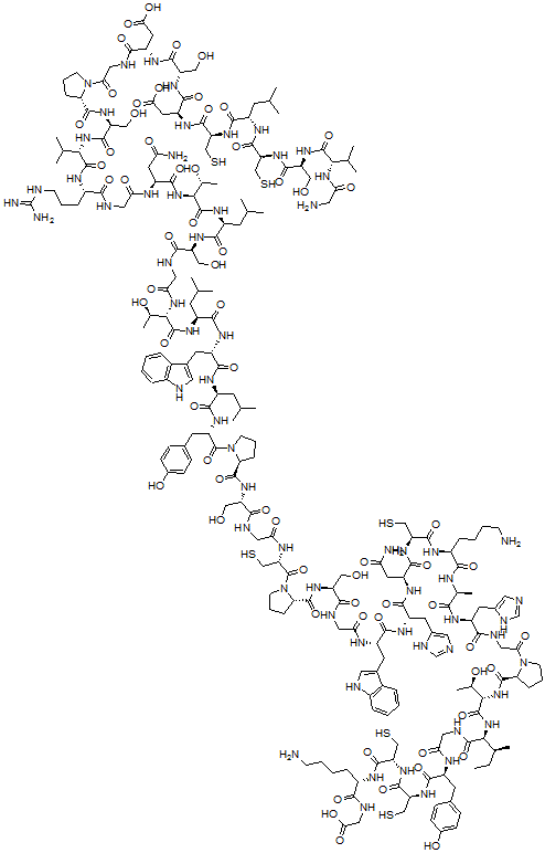
分子结构 CAS 登录号:60880-63-9, 海葵毒素 A
分子式 C215H326N62O67S6
分子量 5043.68
CAS 登录号 60880-63-9
分子行输入简码 SMILES [C@@H]5(N(C(=O)[C@@H](NC(=O)[C@@H](NC(=O)[C@@H](NC(=O)[C@@H](NC(=O)[C@@H](NC(=O)CNC(=O)[C@@H](NC(=O)[C@@H](NC(=O)[C@@H](NC(=O)[C@@H](NC(=O)CNC(=O)[C@@H](NC(=O)[C@@H](NC(=O)[C@@H](NC(=O)[C@H]1N(C(=O)CNC(=O)[C@@H](NC(=O)[C@@H](NC(=O)[C@@H](NC(=O)[C@@H](NC(=O)[C@@H](NC(=O)[C@@H](NC(=O)[C@@H](NC(=O)[C@@H](NC(=O)CN)C(C)C)CO)CS)CC(C)C)CS)CC(=O)O)CO)CC(=O)O)CCC1)CO)C(C)C)CCCNC(=N)N)CC(=O)N)[C@H](O)C)CC(C)C)CO)[C@H](O)C)CC(C)C)CC2=C[NH]C3=C2C=CC=C3)CC(C)C)CC4=CC=C(O)C=C4)CCC5)C(=O)N[C@H](C(=O)NCC(=O)N[C@H](C(=O)N%12[C@H](C(=O)N[C@H](C(=O)NCC(=O)N[C@@H](CC6=C[NH]C7=C6C=CC=C7)C(=O)N[C@H](C(=O)N[C@H](C(=O)N[C@H](C(=O)N[C@H](C(=O)N[C@H](C(=O)N[C@H](C(=O)NCC(=O)N9[C@H](C(=O)N[C@H](C(=O)N[C@H](C(=O)NCC(=O)N[C@H](C(=O)N[C@H](C(=O)N[C@H](C(=O)N[C@H](C(=O)NCC(=O)O)CCCCN)CS)CS)CC8=CC=C(O)C=C8)[C@H](CC)C)[C@H](O)C)CCC9)CC%10=CN=C[NH]%10)C)CCCCN)CS)CC(=O)N)CC%11=CN=C[NH]%11)CO)CCC%12)CS)CO
国际化学标识码 InChI 1S/C215H326N62O67S6/c1-19-106(14)171(207(337)232-81-161(294)239-130(63-111-44-48-117(287)49-45-111)188(318)264-150(96-349)202(332)267-147(93-346)198(328)243-123(37-24-26-52-216)177(307)235-85-168(303)304)271-212(342)174(110(18)286)273-206(336)153-41-30-56-275(153)165(298)83-233-178(308)133(67-115-76-223-98-236-115)246-175(305)107(15)238-183(313)125(38-25-27-53-217)244-199(329)146(92-345)265-192(322)136(70-157(220)290)251-191(321)134(68-116-77-224-99-237-116)250-189(319)131(65-113-74-226-121-35-22-20-33-119(113)121)240-159(292)79-229-181(311)141(87-279)260-205(335)155-43-32-58-277(155)214(344)151(97-350)242-162(295)80-230-182(312)142(88-280)259-204(334)154-42-31-57-276(154)213(343)139(64-112-46-50-118(288)51-47-112)256-185(315)126(59-100(2)3)247-190(320)132(66-114-75-227-122-36-23-21-34-120(114)122)249-184(314)128(61-102(6)7)254-210(340)172(108(16)284)269-163(296)82-231-180(310)140(86-278)257-186(316)129(62-103(8)9)255-211(341)173(109(17)285)272-194(324)135(69-156(219)289)241-160(293)78-228-176(306)124(39-28-54-225-215(221)222)245-209(339)170(105(12)13)270-197(327)145(91-283)261-203(333)152-40-29-55-274(152)164(297)84-234-179(309)137(71-166(299)300)252-195(325)143(89-281)258-193(323)138(72-167(301)302)253-201(331)148(94-347)263-187(317)127(60-101(4)5)248-200(330)149(95-348)266-196(326)144(90-282)262-208(338)169(104(10)11)268-158(291)73-218/h20-23,33-36,44-51,74-77,98-110,123-155,169-174,226-227,278-288,345-350H,19,24-32,37-43,52-73,78-97,216-218H2,1-18H3,(H2,219,289)(H2,220,290)(H,223,236)(H,224,237)(H,228,306)(H,229,311)(H,230,312)(H,231,310)(H,232,337)(H,233,308)(H,234,309)(H,235,307)(H,238,313)(H,239,294)(H,240,292)(H,241,293)(H,242,295)(H,243,328)(H,244,329)(H,245,339)(H,246,305)(H,247,320)(H,248,330)(H,249,314)(H,250,319)(H,251,321)(H,252,325)(H,253,331)(H,254,340)(H,255,341)(H,256,315)(H,257,316)(H,258,323)(H,259,334)(H,260,335)(H,261,333)(H,262,338)(H,263,317)(H,264,318)(H,265,322)(H,266,326)(H,267,332)(H,268,291)(H,269,296)(H,270,327)(H,271,342)(H,272,324)(H,273,336)(H,299,300)(H,301,302)(H,303,304)(H4,221,222,225)/t106-,107-,108+,109+,110+,123-,124-,125-,126-,127-,128-,129-,130-,131-,132-,133-,134-,135-,136-,137-,138-,139-,140-,141-,142-,143-,144-,145-,146-,147-,148-,149-,150-,151-,152-,153-,154-,155-,169-,170-,171-,172-,173-,174-/m0/s1
国际化学标识检索码 InChIKey DCHLNFQWPLNLQG-OWIWTKNASA-N
蛋白质序列 H-Gly-Val-Ser-Cys-Leu-Cys-Asp-Ser-Asp-Gly-Pro-Ser-Val-Arg-Gly-Asn-Thr-Leu-Ser-Gly-Thr-Leu-Trp-Leu-Tyr-Pro-Ser-Gly-Cys-Pro-Ser-Gly-Trp-His-Asn-Cys-Lys-Ala-His-Gly-Pro-Thr-Ile-Gly-Trp-Cys-Cys-Lys-Gln-OH
安全数据
SDS 化学品安全技术说明书参考文本
市场分析报告
请浏览海葵毒素 A市场分析报告总目录
相关产品
(6E)-6-羟基亚胺己烷-1,2,3,4,5-五...  22-羟基胆甾-4-烯-3-酮  5-甲基-1H-苯并咪唑-1,2-二胺  5,6-二甲基-1H-苯并咪唑-1,2-二胺  N(6)-甲基-3'-氨基-3'-脱氧腺苷  2-(二乙基氨基)乙基 3-(4-甲氧基苯基)-2...  (3beta,17beta)-17-羟基-17-甲...  alpha-溴-beta,beta-二(4-乙氧基...  (Z)-N-9-十八烷基-beta-丙氨酸钠  2,3-4,5-二-O-异亚丙基-1-O-甲基-b...  3',4',5,7-四羟基黄酮-3-基硫酸酯  1,4-戊二炔基-苯  [R-(R*,R*)]-酒石酸单乙酯  1,2,3,4,5-五溴苯  1-(3,4-二甲氧基苯基)-2-吡咯烷-2-基乙...