Online Database of Chemicals from Around the World

甲基2-丁基-N,N-二甲基去甲亮氨酸酯
[CAS# 6141-47-5]

供应商
Achemica 瑞士 询价快递  
+41 (24) 466-2929
contact@achemica.com
化学品生产商(2010 年起)
基本信息
产品名称 甲基2-丁基-N,N-二甲基去甲亮氨酸酯
英文名 Methyl 2-Butyl-N,N-Dimethylnorleucinate
别名 Methyl 2-butyl-2-(dimethylamino)hexanoate #
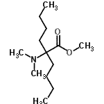
分子结构 CAS 登录号:6141-47-5, 甲基2-丁基-N,N-二甲基去甲亮氨酸酯
分子式 C13H27NO2
分子量 229.36
CAS 登录号 6141-47-5
分子行输入简码 SMILES O=C(OC)C(N(C)C)(CCCC)CCCC
国际化学标识码 InChI 1S/C13H27NO2/c1-6-8-10-13(14(3)4,11-9-7-2)12(15)16-5/h6-11H2,1-5H3
国际化学标识检索码 InChIKey CBGWWJGGFAGTSI-UHFFFAOYSA-N
物理化学性质
密度 0.903g/cm3 (计算值)
沸点 276.678°C at 760 mmHg (计算值)
闪点 80.794°C (计算值)
市场分析报告
请浏览甲基2-丁基-N,N-二甲基去甲亮氨酸酯市场分析报告总目录
相关产品
2-氨基-1-(3,4-二甲氧基苯基)乙酮盐酸盐  3,5-二甲氧基苯甲脒盐酸盐(1:1)  1-萘甲脒盐酸盐(1:1)  3',11'-二羟基-3H-螺[2-苯并呋喃-1,...  1-(2-环戊基-1-哌啶基)乙酮  1,1'-联(环戊基)-2-胺  S-(2-氨基乙基)-L-半胱氨酸  3-(4-甲氧基苯基)-1,2-恶唑  1-烯丙基-4-亚硝基哌嗪  1-亚硝基-4-(2-丙炔-1-基)哌嗪  2-烯丙基苯甲酰胺  2-(2-甲基-2-丙烯-1-基)苯甲酸  2-氨基-4,5-二氢-1,3-恶唑-5-羧酸  2,3,3,3-四氟丙酰溴  N-甲基-2-吡啶甲酰胺