Online Database of Chemicals from Around the World

2-[4-[4-[4-[[4-[4-(戊氧基羰基氨基)苄基]苯基]氨基甲酰氧基]丁氧羰基氨基]苄基]苯基]乙酸戊基酯
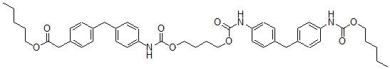
[CAS# 61789-63-7]

基本信息
产品名称 2-[4-[4-[4-[[4-[4-(戊氧基羰基氨基)苄基]苯基]氨基甲酰氧基]丁氧羰基氨基]苄基]苯基]乙酸戊基酯
英文名 2-[4-[4-[4-[[4-[4-(Amoxycarbonylamino)benzyl]phenyl]carbamoyloxy]butoxycarbonylamino]benzyl]phenyl]acetic acid amyl ester
别名 2-[4-[[4-[[Oxo-[4-[Oxo-[[4-[[4-[(Oxo-Pentoxymethyl)Amino]Phenyl]Methyl]Phenyl]Amino]Methoxy]Butoxy]Methyl]Amino]Phenyl]Methyl]Phenyl]Acetic Acid Pentyl Ester; 2-[4-[4-[4-[[4-[4-(Amoxycarbonylamino)Benzyl]Phenyl]Carbamoyloxy]Butoxycarbonylamino]Benzyl]Phenyl]Acetic Acid Amyl Ester; Pentyl 2-[4-[[4-[4-[[4-[[4-(Pentoxycarbonylamino)Phenyl]Methyl]Phenyl]Carbamoyloxy]Butoxycarbonylamino]Phenyl]Methyl]Phenyl]Ethanoate
分子结构 CAS 登录号:61789-63-7, 2-[4-[4-[4-[[4-[4-(戊氧基羰基氨基)苄基]苯基]氨基甲酰氧基]丁氧羰基氨基]苄基]苯基]乙酸戊基酯
分子式 C45H55N3O8
分子量 765.94
CAS 登录号 61789-63-7
分子行输入简码 SMILES C2=C(CC1=CC=C(NC(OCCCCC)=O)C=C1)C=CC(=C2)NC(OCCCCOC(=O)NC4=CC=C(CC3=CC=C(C=C3)CC(OCCCCC)=O)C=C4)=O
国际化学标识码 InChI 1S/C45H55N3O8/c1-3-5-7-27-53-42(49)33-38-13-11-34(12-14-38)31-35-15-21-40(22-16-35)47-44(51)55-29-9-10-30-56-45(52)48-41-25-19-37(20-26-41)32-36-17-23-39(24-18-36)46-43(50)54-28-8-6-4-2/h11-26H,3-10,27-33H2,1-2H3,(H,46,50)(H,47,51)(H,48,52)
国际化学标识检索码 InChIKey CWEFIMQKSZFZNY-UHFFFAOYSA-N
物理化学性质
密度 1.187g/cm3 (计算值)
沸点 775.399°C at 760 mmHg (计算值)
闪点 422.746°C (计算值)
市场分析报告
请浏览2-[4-[4-[4-[[4-[4-(戊氧基羰基氨基)苄基]苯基]氨基甲酰氧基]丁氧羰基氨基]苄基]苯基]乙酸戊基酯市场分析报告总目录
相关产品
3-乙氧基-N,N-二乙基-4-亚硝基苯胺  6-(二甲基氨基)-2-[2-(2,5-二甲基-1...  4-(3-吗啉基甲基)-2,5-二甲酚盐酸盐  (2-羟基-1-甲基-2,3-二苯基丙基)铵(1S...  N,N'-[(9,10-二氢-9,10-二氧代蒽-...  3-氧代-3-苯基-N-[4-[[(对甲苯基)磺酰...  1-甲基-10-磺基硬脂酸钠  双(十三烷基)马来酸酯  2-氰基-3-甲基庚-4-酸乙酯  N-十四烷基-beta-丙氨酸与 2,2',2''...  1,8-二硝基-4,5-二(2,4-二硝基苯氧基)...  [(2-羟基乙基)氨基]苯基汞乙酸盐  丁烷-2-基2-(2,4,5-三氯苯氧基)乙酸酯  [[(膦酸基甲基)亚氨基]二[乙烷-2,1-二基次...  肉桂基惕各酸酯