Online Database of Chemicals from Around the World

Lucknomycin
[CAS# 61912-76-3]

Suppliers
CAS#: 61912-76-3
Product: Lucknomycin
No suppilers available for the product.
Identification
Name Lucknomycin
Synonyms (23E,25E,27E,29E,31E,33E,35E)-22-(4-Amino-3,5-Dihydroxy-6-Methyl-Tetrahydropyran-2-Yl)Oxy-4,6,8,10,12,14,16,18,20-Nonahydroxy-38-[1-Hydroxy-3-(4-Methylaminophenyl)-3-Oxo-Propyl]-2-Oxo-1-Oxacyclooctatriaconta-23,25,27,29,31,33,35-Heptaene-19-Carboxylic Acid; (23E,25E,27E,29E,31E,33E,35E)-22-[(4-Amino-3,5-Dihydroxy-6-Methyl-2-Tetrahydropyranyl)Oxy]-4,6,8,10,12,14,16,18,20-Nonahydroxy-38-[1-Hydroxy-3-(4-Methylaminophenyl)-3-Oxopropyl]-2-Oxo-1-Oxacyclooctatriaconta-23,25,27,29,31,33,35-Heptaene-19-Carboxylic Acid; (23E,25E,27E,29E,31E,33E,35E)-22-(4-Amino-3,5-Dihydroxy-6-Methyl-Tetrahydropyran-2-Yl)Oxy-4,6,8,10,12,14,16,18,20-Nonahydroxy-38-[1-Hydroxy-3-Keto-3-(4-Methylaminophenyl)Propyl]-2-Keto-1-Oxacyclooctatriaconta-23,25,27,29,31,33,35-Heptaene-19-Carboxylic Acid
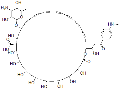
Molecular Structure CAS#: 61912-76-3, Lucknomycin
Molecular Formula C54H80N2O19
Molecular Weight 1061.23
CAS Registry Number 61912-76-3
SMILES C3=C(C(=O)CC(O)C2OC(=O)CC(O)CC(O)CC(O)CC(O)CC(O)CC(O)CC(O)CC(O)C(C(O)CC(OC1OC(C(O)C(N)C1O)C)\C=C\C=C\C=C\C=C\C=C\C=C\C=C\C2)C(=O)O)C=CC(=C3)NC
InChI 1S/C54H80N2O19/c1-32-51(69)50(55)52(70)54(73-32)74-42-16-14-12-10-8-6-4-3-5-7-9-11-13-15-17-47(44(65)31-43(64)33-18-20-34(56-2)21-19-33)75-48(68)29-41(63)27-39(61)25-37(59)23-35(57)22-36(58)24-38(60)26-40(62)28-45(66)49(53(71)72)46(67)30-42/h3-16,18-21,32,35-42,44-47,49-52,54,56-63,65-67,69-70H,17,22-31,55H2,1-2H3,(H,71,72)/b4-3+,7-5+,8-6+,11-9+,12-10+,15-13+,16-14+
InChIKey UOGLHBMJXYMOSU-BKCCTOCRSA-N
Market Analysis Reports
List of Reports Available for Lucknomycin
Related Products
2-Deoxyinosose  3beta,4alpha,5beta,6alpha-Tetrahydroxyte...  (1R-trans)-3-(2,2-Dichlorovinyl)-2,2-Dim...  Diethyl[2-(5-Ethylhexahydro-2,4,6-Trioxo...  5,6,6a,7-Tetrahydro-6-Methyl-4H-Dibenzo[...  Edta Disodium Cupric Salt  1-Butylspiropentane  Fast Scarlet R Salt  2-(1-Cyclohex-3-Enyl)-5,5-Diethyl-1,3-Di...  2-Cyclopropyl-2,4,5-Trimethyl-1,3-Dioxol...  4-Isopropyl-2,2,5,5-Tetramethyl-1,3-Diox...  5-Cholesten-3beta-Ol 3-(2'-Ethylhexylcar...  4,4'-(Bromophenylethenylidene)Bis(Phenol...  Penicillin Bt  1-Pentene-2-Ol