Online Database of Chemicals from Around the World

Ferric enterochelin
[CAS# 62280-34-6]

Suppliers
CAS#: 62280-34-6
Product: Ferric enterochelin
No suppilers available for the product.
Identification
Name Ferric enterochelin
Synonyms Ferric; 3-[[7,11-Bis[(2,3-Dioxidobenzoyl)Amino]-2,6,10-Trioxo-1,5,9-Trioxacyclododec-3-Yl]Carbamoyl]Benzene-1,2-Diolate; Hydron; Ferric; 3-[[[7,11-Bis[[(2,3-Dioxidophenyl)-Oxomethyl]Amino]-2,6,10-Trioxo-1,5,9-Trioxacyclododec-3-Yl]Amino]-Oxomethyl]Benzene-1,2-Diolate; Hydron
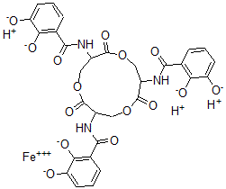
Molecular Structure CAS#: 62280-34-6, Ferric enterochelin
Molecular Formula C30H24FeN3O15
Molecular Weight 722.38
CAS Registry Number 62280-34-6
SMILES [H+].[H+].[H+].C1=CC=C([O-])C(=C1C(=O)NC4C(OCC(NC(=O)C2=C([O-])C(=CC=C2)[O-])C(OCC(NC(=O)C3=C([O-])C(=CC=C3)[O-])C(OC4)=O)=O)=O)[O-].[Fe+3]
InChI 1S/C30H27N3O15.Fe/c34-19-7-1-4-13(22(19)37)25(40)31-16-10-46-29(44)18(33-27(42)15-6-3-9-21(36)24(15)39)12-48-30(45)17(11-47-28(16)43)32-26(41)14-5-2-8-20(35)23(14)38;/h1-9,16-18,34-39H,10-12H2,(H,31,40)(H,32,41)(H,33,42);/q;+3/p-3
InChIKey NGILTSZTOFYVBF-UHFFFAOYSA-K
Properties
Boiling point 1109.1°C at 760 mmHg (Cal.)
Flash point 624.6°C (Cal.)
Market Analysis Reports
List of Reports Available for Ferric enterochelin
Related Products
Hexanal Phenylhydrazone  Zinc Succinate  Selenodiacetic Acid  3-Methyl-2-(3-Methylbutyl)But-2-En-1-Ol  5,6-Dimethylene-Bicyclo[2.2.1]Heptan-2-O...  Methyl 4-Benzyloxybenzoate  4-Methylbenzenesulfonic Acid 2-Methyl-2-...  4-Nitro-N-(1H-Tetrazol-5-Yl)Benzamide  2-Chloro-N-[4-[(4-Nitrophenyl)Thio]Pheny...  1-[(2,4-Dimethoxyphenyl)Azo]-2-Naphthol  1-Ethyl-3-Hydrazono-1,3-Dihydro-Indol-2-...  2-[[1,4-Dihydro-2-Methyl-1-(2-Piperidino...  Azure A Eosinate  6-Chloro-2-Chloromethyl-4-Phenylquinazol...  2-Benzoylhydrazono-1,3-Dithiolane