Online Database of Chemicals from Around the World

卷曲霉素 IIB
[CAS# 62639-90-1]

供应商
CAS#: 62639-90-1
产品: 卷曲霉素 IIB
暂时没有厂家供应该产品。
基本信息
产品名称 卷曲霉素 IIB
英文名 Capreomycin IIB
别名 [(Z)-[(3S,9S,12S,15S)-15-Amino-9-(Aminomethyl)-3-[(4R)-2-Amino-3,4,5,6-Tetrahydropyrimidin-4-Yl]-2,5,8,11,14-Pentaketo-12-Methyl-1,4,7,10,13-Pentazacyclohexadec-6-Ylidene]Methyl]Urea; Capreomycin Ia, 1-De-(L-3,6-Diaminohexanoic Acid)-6-L-Alanine; Capreomycin Iib
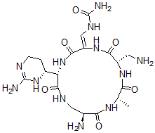
分子结构 CAS 登录号:62639-90-1, 卷曲霉素 IIB
分子式 C19H32N12O6
分子量 524.54
CAS 登录号 62639-90-1
分子行输入简码 SMILES [C@H]1(NC(=NCC1)N)[C@@H]2NC(=O)\C(NC(=O)[C@@H](NC(=O)[C@@H](NC(=O)[C@@H](N)CNC2=O)C)CN)=C\NC(=O)N
国际化学标识码 InChI 1S/C19H32N12O6/c1-7-13(32)28-10(4-20)15(34)29-11(6-26-19(23)37)16(35)31-12(9-2-3-24-18(22)30-9)17(36)25-5-8(21)14(33)27-7/h6-10,12H,2-5,20-21H2,1H3,(H,25,36)(H,27,33)(H,28,32)(H,29,34)(H,31,35)(H3,22,24,30)(H3,23,26,37)/b11-6-/t7-,8-,9+,10-,12-/m0/s1
国际化学标识检索码 InChIKey MHBQQDNEPQYCOS-CBQPQWBASA-N
物理化学性质
密度 1.818g/cm3 (计算值)
市场分析报告
请浏览卷曲霉素 IIB市场分析报告总目录
相关产品
(2-乙氧基-1-丙烯基)三苯基鏻碘化物  筋骨草素二萜 I  4-[2-[(1R)-8aalpha-乙酰氧基甲基...  4-[2-[(1S,8abeta)-4alpha-...  3-(N-苯二甲酰亚氨基)丙基三氯硅烷  1-丁基-1-苯基-脲  四氢-1-亚硝基-2(1H)-嘧啶酮  1-亚硝基-5,6-二氢胸腺嘧啶  2-羟基乙基亚硝基氨基甲酸乙酯  4,4'-亚甲基二[N-呋喃亚甲基苯胺]  2-氨基-4,6-二巯基嘧啶  1-氨基-4-[(1-甲基乙基)氨基]蒽醌  (E)-3-(4-甲氧基苯基)-N-甲基-丙-2-...  四氢-alpha-[2-(四氢呋喃-2-基)乙基]...  (8S-顺式)-8-乙酰基-10-((3-氨基-2...