| Alfa Chemistry | USA | Inquire | ||
|---|---|---|---|---|
![]() |
+1 (201) 478-8534 | |||
![]() |
inquiry@alfa-chemistry.com | |||
| Chemical distributor since 2012 | ||||
| chemBlink standard supplier since 2012 | ||||
| BOC Sciences | USA | Inquire | ||
|---|---|---|---|---|
![]() |
+1 (631) 485-4226 | |||
![]() |
info@bocsci.com | |||
![]() |
Skype Chat | |||
| Chemical distributor | ||||
| chemBlink massive supplier since 2012 | ||||
| International Laboratory Limited | USA | Inquire | ||
|---|---|---|---|---|
![]() |
+1 (650) 278-9963 | |||
![]() |
admin@intlab.org | |||
| Chemical manufacturer since 2002 | ||||
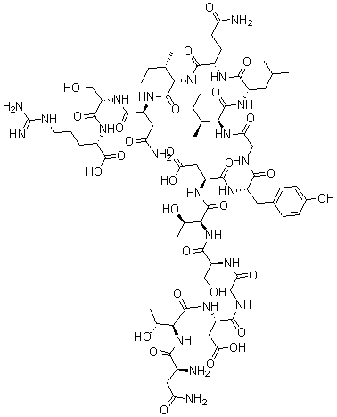
| Name | Hen Egg Lysozyme Peptide (46-61) |
|---|---|
| Synonyms | Hen Egg Lysozyme Peptide (46-61); L-Arginine, L-Asparaginyl-L-Threonyl-L-Alpha-Aspartylglycyl-L-Seryl-L-Threonyl-L-Alpha-Aspartyl-L-Tyrosylglycyl-L-Isoleucyl-L-Leucyl-L-Glutaminyl-L-Isoleucyl-L-Asparaginyl-L-Seryl- |
| Molecular Structure | ![]() |
| Molecular Formula | C72H116N22O29 |
| Molecular Weight | 1753.84 |
| CAS Registry Number | 62982-31-4 |
| SMILES | [C@@H](N)(C(=O)N[C@H](C(=O)N[C@H](C(=O)NCC(N[C@H](C(N[C@H](C(=O)N[C@H](C(=O)N[C@H](C(=O)NCC(N[C@H](C(N[C@H](C(=O)N[C@H](C(N[C@H](C(N[C@H](C(=O)N[C@H](C(=O)N[C@H](C(=O)O)CCCNC(N)=N)CO)CC(=O)N)=O)[C@@H](C)CC)=O)CCC(=O)N)CC(C)C)=O)[C@@H](C)CC)=O)CC1=CC=C(C=C1)O)CC(=O)O)[C@H](O)C)=O)CO)=O)CC(=O)O)[C@H](O)C)CC(=O)N |
| InChI | 1S/C72H116N22O29/c1-9-31(5)54(67(118)86-40(20-30(3)4)62(113)83-38(17-18-47(74)100)61(112)92-55(32(6)10-2)68(119)87-42(23-49(76)102)63(114)90-46(29-96)65(116)84-39(71(122)123)12-11-19-79-72(77)78)91-51(104)27-81-59(110)41(21-35-13-15-36(99)16-14-35)85-64(115)44(25-53(107)108)89-70(121)57(34(8)98)94-66(117)45(28-95)82-50(103)26-80-60(111)43(24-52(105)106)88-69(120)56(33(7)97)93-58(109)37(73)22-48(75)101/h13-16,30-34,37-46,54-57,95-99H,9-12,17-29,73H2,1-8H3,(H2,74,100)(H2,75,101)(H2,76,102)(H,80,111)(H,81,110)(H,82,103)(H,83,113)(H,84,116)(H,85,115)(H,86,118)(H,87,119)(H,88,120)(H,89,121)(H,90,114)(H,91,104)(H,92,112)(H,93,109)(H,94,117)(H,105,106)(H,107,108)(H,122,123)(H4,77,78,79)/t31-,32-,33+,34+,37-,38-,39-,40-,41-,42-,43-,44-,45-,46-,54-,55-,56-,57-/m0/s1 |
| InChIKey | HYXXBINWGPYLTQ-DMWLTYJSSA-N |
| Density | 1.56g/cm3 (Cal.) |
|---|---|
| Market Analysis Reports |
| List of Reports Available for Hen Egg Lysozyme Peptide (46-61) |