Online Database of Chemicals from Around the World

3-[beta-(二丁基氨基)乙氧基]丙基 4-氨基苯甲酸酯
[CAS# 63917-75-9]

供应商
CAS#: 63917-75-9
产品: 3-[beta-(二丁基氨基)乙氧基]丙基 4-氨基苯甲酸酯
暂时没有厂家供应该产品。
基本信息
产品名称 3-[beta-(二丁基氨基)乙氧基]丙基 4-氨基苯甲酸酯
英文名 3-[beta-(Dibutylamino)Ethoxy]Propyl 4-Aminobenzoate
别名 4-Aminobenzoic Acid 3-[2-(Dibutylamino)Ethoxy]Propyl Ester; 3-(Beta-(Dibutylamino)Ethoxy)Propyl P-Aminobenzoate; Benzoic Acid, P-Amino-, 3-(Beta-(Dibutylamino)Ethoxy)Propyl Ester
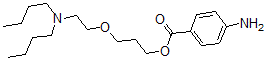
分子结构 CAS 登录号:63917-75-9, 3-[beta-(二丁基氨基)乙氧基]丙基 4-氨基苯甲酸酯
分子式 C20H34N2O3
分子量 350.50
CAS 登录号 63917-75-9
分子行输入简码 SMILES C1=C(C(OCCCOCCN(CCCC)CCCC)=O)C=CC(=C1)N
国际化学标识码 InChI 1S/C20H34N2O3/c1-3-5-12-22(13-6-4-2)14-17-24-15-7-16-25-20(23)18-8-10-19(21)11-9-18/h8-11H,3-7,12-17,21H2,1-2H3
国际化学标识检索码 InChIKey VLNZLRGVZZUCPQ-UHFFFAOYSA-N
物理化学性质
密度 1.027g/cm3 (计算值)
沸点 477.533°C at 760 mmHg (计算值)
闪点 242.604°C (计算值)
市场分析报告
请浏览3-[beta-(二丁基氨基)乙氧基]丙基 4-氨基苯甲酸酯市场分析报告总目录
相关产品
3-[beta-(二乙基氨基)乙氧基]丙基 4-氨...  3-[beta-(二甲基氨基)乙氧基]丙基 4-氨...  4-氨基硫代苯甲酸 S-[3-(二丁基氨基)丙基]...  3-(2-甲基哌啶基)丙基 4-苄氧基苯甲酸酯  2-(2-氯苯基)硫代-N,N-二乙基乙胺  3,4-二乙氧基-5-甲氧基苯乙胺  N,N-二乙基-2-(邻甲苯基硫代)乙胺  4-(2-甲基氨基乙基)环己醇  beta-(4-苯基偶氮苯氧基)-N,N-二[2-...  4-(二乙基氨基)丁酸乙酯  乙酰基乙基胆碱芥菜盐酸盐  alpha-乙基-3-甲基-6-氧代-1(6H)-...  N-[alpha-(4-氯苯基)苄基]-N'-(1...  盐酸芬咖明  1,2-二乙氧基-1-氯乙烯