Online Database of Chemicals from Around the World

2-乙酰氨基-N,N-二乙基丙烯酰胺
[CAS# 646072-00-6]

供应商
深圳爱拓化学有限公司 中国 询价快递  
+86 13417589054//+86 13424336463
info@atomaxchem.com,atomax.chemicals@gmail.com,
QQ 交流
化学品生产商
基本信息
产品名称 2-乙酰氨基-N,N-二乙基丙烯酰胺
英文名 2-Acetamido-N,N-diethylacrylamide
别名 2-acetamido-N,N-diethylacrylamide; 2-PROPENAMIDE, 2-(ACETYLAMINO)-N,N-DIETHYL-
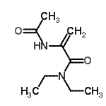
分子结构 CAS 登录号:646072-00-6, 2-乙酰氨基-N,N-二乙基丙烯酰胺
分子式 C9H16N2O2
分子量 184.24
CAS 登录号 646072-00-6
分子行输入简码 SMILES CCN(CC)C(=O)C(=C)NC(=O)C
国际化学标识码 InChI 1S/C9H16N2O2/c1-5-11(6-2)9(13)7(3)10-8(4)12/h3,5-6H2,1-2,4H3,(H,10,12)
国际化学标识检索码 InChIKey HYYWVZCUNNBERG-UHFFFAOYSA-N
物理化学性质
密度 1.011g/cm3 (计算值)
沸点 412.721°C at 760 mmHg (计算值)
闪点 203.407°C (计算值)
折射率 1.468 (计算值)
市场分析报告
请浏览2-乙酰氨基-N,N-二乙基丙烯酰胺市场分析报告总目录
相关产品
1-甲基吡咯并[1,2-a]吡嗪  4-甲基吡咯并[1,2-a]吡嗪  3-甲基吡咯并[1,2-a]吡嗪  1,3-氧硫杂环已烷  4H-1,2,4-三唑-3-磺酰氯  3-氨基-6-氯-4-哒嗪甲腈  (6-氯-3-吡啶基)(1-吡咯烷基)甲酮  (6-氯-3-吡啶基)(1-哌啶基)甲酮  (6-氯-3-吡啶基)(4-吗啉基)甲酮  (2S,4R)-4-羟基-2-吡咯烷甲酰肼  2,2'-[1,6-己烷二基二(氧基)]二苯甲醛  4-[[3-[(4-甲酰基苯氧基)甲基]苯基]甲氧...  4-(甲基磺酰基)联苯  2-溴丁-3-烯-1-醇  甲基4-羟基-5-甲基-1H-吡唑-3-羧酸酯