Online Database of Chemicals from Around the World

Cyclodextrin-Benzaldehyde
[CAS# 64691-57-2]

Suppliers
CAS#: 64691-57-2
Product: Cyclodextrin-Benzaldehyde
No suppilers available for the product.
Identification
Name Cyclodextrin-Benzaldehyde
Synonyms Beta-Cyclodextrin, Compd. With Benzaldehyde (1:1); Beta-Cyclodextrin-Benzaldehyde
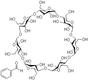
Molecular Structure CAS#: 64691-57-2, Cyclodextrin-Benzaldehyde
Molecular Formula C49H76O36
Molecular Weight 1241.12
CAS Registry Number 64691-57-2
SMILES [C@@H]12O[C@H]8O[C@@H]([C@@H](O[C@H]7O[C@@H]([C@@H](O[C@H]6O[C@@H]([C@@H](O[C@H]5O[C@@H]([C@@H](O[C@H]4O[C@@H]([C@@H](O[C@H]3O[C@@H]([C@@H](O[C@@H](O[C@@H]1CO)[C@H](O)[C@H]2O)[C@H](O)[C@H]3O)CO)[C@H](O)[C@H]4O)CO)[C@H](O)[C@H]5O)CO)[C@H](O)[C@H]6O)CO)[C@H](O)[C@H]7O)CO)[C@H](O)[C@H]8O)CO.C9=C(C=CC=C9)C=O
InChI 1S/C42H70O35.C7H6O/c43-1-8-29-15(50)22(57)36(64-8)72-30-9(2-44)66-38(24(59)17(30)52)74-32-11(4-46)68-40(26(61)19(32)54)76-34-13(6-48)70-42(28(63)21(34)56)77-35-14(7-49)69-41(27(62)20(35)55)75-33-12(5-47)67-39(25(60)18(33)53)73-31-10(3-45)65-37(71-29)23(58)16(31)51;8-6-7-4-2-1-3-5-7/h8-63H,1-7H2;1-6H/t8-,9-,10-,11-,12-,13-,14-,15-,16-,17-,18-,19-,20-,21-,22-,23-,24-,25-,26-,27-,28-,29-,30-,31-,32-,33-,34-,35-,36-,37-,38-,39-,40-,41-,42-;/m1./s1
InChIKey WFHFGDIKIXDWNX-ZQOBQRRWSA-N
Market Analysis Reports
List of Reports Available for Cyclodextrin-Benzaldehyde
Related Products
4-[(4-Dimethylaminophenyl)Imino]-2-Methy...  4-[(4-Dimethylaminophenyl)Imino]-2-Metho...  N-[3-[(4-Dimethylaminophenyl)Imino]-6-Ox...  4-Bromoimino-2,6-Dibromo-2,5-Cyclohexadi...  4-Methylthiazole-5-Propionic Acid  4-Bromoimino-2,6-Dichloro-2,5-Cyclohexad...  N,N'-Bis(Ethylene)-P-(1-Adamantyl)Phosph...  1-Nitro-L-Proline  1-Nitro-D-Proline  Cloprothiazole  N-Acetyl-7H-Dibenzo(c,g)Carbazole  1,3,3-Trichlorobutan-2-One  2-O-Carboxymethylglucose  2-(4-Chlorophenylthio)Benzoic Acid  3-Chloro-9H-Thioxanthen-9-One