Online Database of Chemicals from Around the World

Maltononaose
[CAS# 6471-60-9]

Suppliers
International Laboratory Limited USA Inquire  
+1 (650) 278-9963
admin@intlab.org
Chemical manufacturer since 2002
Identification
Name Maltononaose
Synonyms (2R,3S,4R,5R)-2-[(2R,3R,4S,5R,6R)-6-(Hydroxymethyl)-3,4,5-Tris[[(2R,3R,4S,5S,6R)-3,4,5-Trihydroxy-6-(Hydroxymethyl)Tetrahydropyran-2-Yl]Oxy]Tetrahydropyran-2-Yl]Oxy-3,4,5,6-Tetrakis[[(2R,3R,4S,5S,6R)-3,4,5-Trihydroxy-6-(Hydroxymethyl)Tetrahydropyran-2-Yl]Oxy]Hexanal; (2R,3S,4R,5R)-2-[[(2R,3R,4S,5R,6R)-6-(Hydroxymethyl)-3,4,5-Tris[[(2R,3R,4S,5S,6R)-3,4,5-Trihydroxy-6-(Hydroxymethyl)-2-Tetrahydropyranyl]Oxy]-2-Tetrahydropyranyl]Oxy]-3,4,5,6-Tetrakis[[(2R,3R,4S,5S,6R)-3,4,5-Trihydroxy-6-(Hydroxymethyl)-2-Tetrahydropyranyl]Oxy]Hexanal; (2R,3S,4R,5R)-2-[(2R,3R,4S,5R,6R)-6-Methylol-3,4,5-Tris[[(2R,3R,4S,5S,6R)-3,4,5-Trihydroxy-6-Methylol-Tetrahydropyran-2-Yl]Oxy]Tetrahydropyran-2-Yl]Oxy-3,4,5,6-Tetrakis[[(2R,3R,4S,5S,6R)-3,4,5-Trihydroxy-6-Methylol-Tetrahydropyran-2-Yl]Oxy]Hexanal
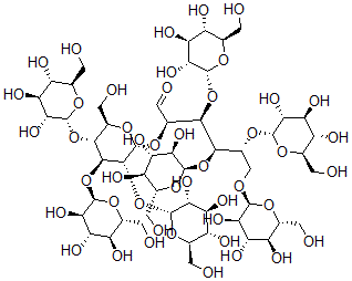
Molecular Structure CAS#: 6471-60-9, Maltononaose
Molecular Formula C54H92O46
Molecular Weight 1477.29
CAS Registry Number 6471-60-9
SMILES [C@@H](C=O)(O[C@@H]4[C@H](O[C@@H]1[C@H](O)[C@@H](O)[C@H](O)[C@H](O1)CO)[C@@H](O[C@@H]2[C@H](O)[C@@H](O)[C@H](O)[C@H](O2)CO)[C@H](O[C@@H]3[C@H](O)[C@@H](O)[C@H](O)[C@H](O3)CO)[C@H](O4)CO)[C@@H](O[C@@H]5[C@H](O)[C@@H](O)[C@H](O)[C@H](O5)CO)[C@H](O[C@@H]6[C@H](O)[C@@H](O)[C@H](O)[C@H](O6)CO)[C@H](O[C@@H]7[C@H](O)[C@@H](O)[C@H](O)[C@H](O7)CO)CO[C@@H]8[C@H](O)[C@@H](O)[C@H](O)[C@H](O8)CO
InChI 1S/C54H92O46/c55-1-11-21(64)28(71)35(78)47(86-11)85-10-20(95-48-36(79)29(72)22(65)12(2-56)87-48)44(98-51-39(82)32(75)25(68)15(5-59)90-51)42(96-49-37(80)30(73)23(66)13(3-57)88-49)18(8-62)93-54-46(100-53-41(84)34(77)27(70)17(7-61)92-53)45(99-52-40(83)33(76)26(69)16(6-60)91-52)43(19(9-63)94-54)97-50-38(81)31(74)24(67)14(4-58)89-50/h8,11-61,63-84H,1-7,9-10H2/t11-,12-,13-,14-,15-,16-,17-,18+,19-,20-,21-,22-,23-,24-,25-,26-,27-,28+,29+,30+,31+,32+,33+,34+,35-,36-,37-,38-,39-,40-,41-,42-,43-,44-,45+,46-,47+,48-,49-,50-,51-,52-,53-,54+/m1/s1
InChIKey KNBVLVBOKWRYEP-XYLDXDTCSA-N
Properties
Density 1.88g/cm3 (Cal.)
Boiling point 1689.333°C at 760 mmHg (Cal.)
Flash point 451.178°C (Cal.)
Market Analysis Reports
List of Reports Available for Maltononaose
Related Products
Benzyl Nonan-1-Oate  Sodium 2-Sulphonatoethyl Undec-10-Enoate  Parathyroid Hormone (24-48)  7-Amino-5-Phenyl-2,3-Bis(Phenylamino)Phe...  1,3-Benzodioxol-5-Ylmethyl Pivalate  Aluminum Dimagnesium Carbonate Pentahydr...  Hydrogen 5-Methyl-2-[2-[[5-Phenyl-3-(3-S...  Corymine  1-Acetoxy-2-Acetylaminofluorene  Syn-Bicyclo[4.2.1]Nona-2,4-Dien-9-Ol  3-Methoxysulphanilic Acid  Isororidin E  16,17-Diethoxyviolanthrene-5,10-Dione  9-cis-Lycopene  1,4-Di(2-Pyridyl)Piperazine