Online Database of Chemicals from Around the World

(23S)-25-去(1-甲基丙基)-22,23-二氢-23-羟基-25-异丙基阿维菌素 A1a
[CAS# 65195-54-2]

供应商
CAS#: 65195-54-2
产品: (23S)-25-去(1-甲基丙基)-22,23-二氢-23-羟基-25-异丙基阿维菌素 A1a
暂时没有厂家供应该产品。
基本信息
产品名称 (23S)-25-去(1-甲基丙基)-22,23-二氢-23-羟基-25-异丙基阿维菌素 A1a
英文名 (23S)-25-De(1-Methylpropyl)-22,23-Dihydro-23-Hydroxy-25-Isopropylavermectin A1a
别名 Avermectin A2b; C11960
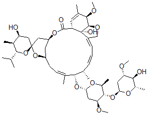
分子结构 CAS 登录号:65195-54-2, (23S)-25-去(1-甲基丙基)-22,23-二氢-23-羟基-25-异丙基阿维菌素 A1a
分子式 C48H74O15
分子量 891.10
CAS 登录号 65195-54-2
分子行输入简码 SMILES [C@]17(O[C@@H]([C@H]([C@@H](O)C1)C)C(C)C)O[C@H]5C[C@H](OC(=O)[C@H]6[C@@]\2(O)[C@H](OCC2=C\C=C\[C@@H]([C@H](O[C@@H]4O[C@H]([C@H](O[C@@H]3O[C@H]([C@H](O)[C@@H](OC)C3)C)[C@@H](OC)C4)C)/C(=C/C5)C)C)[C@H](OC)C(=C6)C)C7
国际化学标识码 InChI 1S/C48H74O15/c1-24(2)41-28(6)35(49)22-47(63-41)21-33-18-32(62-47)16-15-26(4)42(60-39-20-37(54-10)44(30(8)58-39)61-38-19-36(53-9)40(50)29(7)57-38)25(3)13-12-14-31-23-56-45-43(55-11)27(5)17-34(46(51)59-33)48(31,45)52/h12-15,17,24-25,28-30,32-45,49-50,52H,16,18-23H2,1-11H3/b13-12+,26-15+,31-14+/t25-,28-,29-,30-,32+,33-,34-,35-,36-,37-,38-,39-,40-,41+,42-,43+,44-,45+,47-,48+/m0/s1
国际化学标识检索码 InChIKey QUTFLJHOCPQPEW-WUSILSRKSA-N
物理化学性质
密度 1.2±0.1g/cm3 (计算值)
沸点 945.9±65.0°C at 760 mmHg (计算值)
闪点 268.3±27.8°C (计算值)
市场分析报告
请浏览(23S)-25-去(1-甲基丙基)-22,23-二氢-23-羟基-25-异丙基阿维菌素 A1a市场分析报告总目录
相关产品
阿维菌素 B2a  对氨基肉桂酸甲酯  硝基苄基硫代肌苷 5'-单磷酸酯  苯并(a)芘-7,8-二酮  1-(2,4-二甲基苯基)-3-(4-(2-甲氧基...  3-(二乙基氨基)-1-(4-氟苯基)-2-甲基-...  (2,3,4,5,6-五辛酰氧基苯基)辛酸酯  N,N,N,N',N',N'-六甲基-(1,1'-...  [4-[(E)-2-(4-二甲基氨基苯基)乙烯基]...  3-氧代哌啶-1,4-二羧酸 4-乙基 1-甲基酯  1,4-二氧杂-7-氮杂螺[4.5]癸烷-7,10...  10-[(羟基氨基)羰基]-1,4-二氧杂-7-氮...  3,4,5,7-四氢-3-氧代异恶唑并[5,4-c...  4,5,6,7-四氢异恶唑并[5,4-c]吡啶-3...  5,6,7,8-四氢-2H-异恶唑并[4,5-c]...