| Acros Organics | 比利时 | 询价快递 | ||
|---|---|---|---|---|
![]() |
+86 (21) 5258-1100 | |||
![]() |
info@acros.com | |||
| 化学品生产商 | ||||
| BOC Sciences | 美国 | 询价快递 | ||
|---|---|---|---|---|
![]() |
+1 (631) 485-4226 | |||
![]() |
info@bocsci.com | |||
![]() |
Skype 聊天 | |||
| 化学品供销商 | ||||
| chemBlink 集群供应商(2012 年起) | ||||
| Biosynth AG. | 瑞士 | 询价快递 | ||
|---|---|---|---|---|
![]() |
+41 (71) 858-2020 | |||
![]() |
welcome@biosynth.ch | |||
| 化学品生产商 | ||||
| Glentham Life Sciences | 英国 | 询价快递 | ||
|---|---|---|---|---|
![]() |
+44 (2033) 978-798 | |||
![]() |
info@glenthamls.com | |||
| 化学品供销商(2013 年起) | ||||
| Indofine Chemical Company, Inc. | 美国 | 询价快递 | ||
|---|---|---|---|---|
![]() |
+1 (908) 359-6778 | |||
![]() |
fo@indofinechemical.com | |||
| 化学品生产商(1996 年起) | ||||
| International Laboratory Limited | 美国 | 询价快递 | ||
|---|---|---|---|---|
![]() |
+1 (650) 278-9963 | |||
![]() |
admin@intlab.org | |||
| 化学品生产商(2002 年起) | ||||
| Nile Chemicals | 印度 | 询价快递 | ||
|---|---|---|---|---|
![]() |
+91 (22) 6631-3162 | |||
![]() |
nilechem@vsnl.net | |||
| 化学品生产商 | ||||
| 产品分类 | 生物化工 >> 糖类化合物 >> 双糖 |
|---|---|
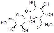
| 产品名称 | 6-O-alpha-D-吡喃半乳糖基-D-葡萄糖单水合物 |
| 英文名 | 6-O-alpha-D-Galactopyranosyl-D-Glucose Monohydrate |
| 别名 | 6-ALPHA-D-GALACTOPYRANOSYL-D-GLUCOPYRANOSE MONOHYDRATE; 6-O-ALPHA-D-GALACTOPYRANOSYL-D-GLUCOSE MONOHYDRATE; D-(+)-MELIBIOSE MONOHYDRATE FOR MICROBIOLOGY 99+% |
| 分子结构 | ![]() |
| 分子式 | C12H24O12 |
| 分子量 | 360.31 |
| CAS 登录号 | 66009-10-7 |
| 分子行输入简码 SMILES | O=C[C@@H]([C@H]([C@@H]([C@@H](CO[C@H]1O[C@H](CO)[C@@H]([C@@H]([C@H]1O)O)O)O)O)O)O.O |
| 国际化学标识码 InChI | 1S/C12H22O11.H2O/c13-1-4(15)7(17)8(18)5(16)3-22-12-11(21)10(20)9(19)6(2-14)23-12;/h1,4-12,14-21H,2-3H2;1H2/t4-,5+,6+,7+,8+,9-,10-,11+,12-;/m0./s1 |
| SDS | 化学品安全技术说明书参考文本 |
|---|---|
| 市场分析报告 |
| 请浏览6-O-alpha-D-吡喃半乳糖基-D-葡萄糖单水合物市场分析报告总目录 |