Online Database of Chemicals from Around the World

Crassolide
[CAS# 66656-91-5]

Suppliers
CAS#: 66656-91-5
Product: Crassolide
No suppilers available for the product.
Identification
Name Crassolide
Synonyms Crassolide; Oxireno(13,14)Cyclotetradeca(1,2-B)Furan-13(1Ah)-One, 2,6,11-Tris(Acetyloxy)-2,3,6,7,10,11,11A,12,14A,14B-Decahydro-1A,5,9-Trimethyl-12-Methylene-, (1As-(1Ar*,2S*,4E,6R*,8E,11S*,11As*,14Ar*,14Br*))-
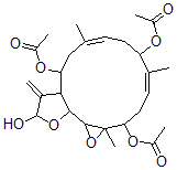
Molecular Structure CAS#: 66656-91-5, Crassolide
Molecular Formula C26H36O9
Molecular Weight 492.57
CAS Registry Number 66656-91-5
SMILES CC13OC1C2OC(O)C(C2C(OC(=O)C)CC(=C/CC(OC(=O)C)C(=C/CC3OC(=O)C)\C)/C)=C
InChI 1S/C26H36O9/c1-13-8-10-19(31-16(4)27)14(2)9-11-21(33-18(6)29)26(7)24(35-26)23-22(15(3)25(30)34-23)20(12-13)32-17(5)28/h8-9,19-25,30H,3,10-12H2,1-2,4-7H3/b13-8+,14-9-
InChIKey URSNRAUXXIOGIJ-MGDWIPCISA-N
Market Analysis Reports
List of Reports Available for Crassolide
Related Products
alpha-Amino-gamma, delta-Dihydroxyadipic...  Stirocainide  5-Phenyl-3-Thiomorpholin-4-Yl-2,8,9-Tria...  5-Bromo-2'-Deoxyuridine 5'-Monophosphate  Muconolactone  1-(4-Imino-1,4-Dihydro-1-Pyridyl)-1,2-Pr...  Neopentyl Glycol Acrylate Benzoate  17-Debromo-29-De(1-Hydroxyethyl)-29-(Hyd...  Inosine monophosphate dialdehyde  Yuanhuacin  3,12-Dihydroxyhexadecanoic Acid  Aluminum Trihexadecan-1-olate  6-Methyl-2-[2-[(E)-(6-Oxo-1-Cyclohexa-2,...  6-Methyl-2-(2-Propan-2-Ylidenehydrazinyl...  1,2-Bis(2,2-Dimethylpropyl)-3,4,5,6-Tetr...