Online Database of Chemicals from Around the World

6-O-(2-Tetradecylhexadecanoyl)-N-acetylmuramyl-L-alanyl-D-isoglutamine
[CAS# 66880-80-6]

Suppliers
CAS#: 66880-80-6
Product: 6-O-(2-Tetradecylhexadecanoyl)-N-acetylmuramyl-L-alanyl-D-isoglutamine
No suppilers available for the product.
Identification
Name 6-O-(2-Tetradecylhexadecanoyl)-N-acetylmuramyl-L-alanyl-D-isoglutamine
Synonyms (4R)-4-[[(2S)-2-[[(2R)-2-[(1R,2R,3R)-1-[(1R)-1-Acetamido-2-Oxo-Ethyl]-2,3-Dihydroxy-4-(2-Tetradecylhexadecanoyloxy)Butoxy]Propanoyl]Amino]Propanoyl]Amino]-5-Amino-5-Oxo-Pentanoic Acid; (4R)-4-[[(2S)-2-[[(2R)-2-[(1R,2R,3R)-1-[(1R)-1-Acetamido-2-Oxoethyl]-2,3-Dihydroxy-4-(1-Oxo-2-Tetradecylhexadecoxy)Butoxy]-1-Oxopropyl]Amino]-1-Oxopropyl]Amino]-5-Amino-5-Oxopentanoic Acid; (4R)-4-[[(2S)-2-[[(2R)-2-[(1R,2R,3R)-1-[(1R)-1-Acetamido-2-Keto-Ethyl]-2,3-Dihydroxy-4-(2-Myristylhexadecanoyloxy)Butoxy]Propanoyl]Amino]Propanoyl]Amino]-5-Amino-5-Keto-Valeric Acid
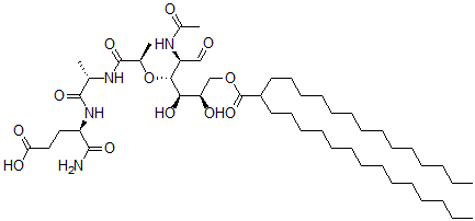
Molecular Structure CAS#: 66880-80-6, 6-O-(2-Tetradecylhexadecanoyl)-N-acetylmuramyl-L-alanyl-D-isoglutamine
Molecular Formula C49H90N4O12
Molecular Weight 927.27
CAS Registry Number 66880-80-6
SMILES [C@H](O[C@H]([C@H](C=O)NC(=O)C)[C@@H]([C@@H](COC(=O)C(CCCCCCCCCCCCCC)CCCCCCCCCCCCCC)O)O)(C(N[C@H](C(N[C@H](CCC(O)=O)C(=O)N)=O)C)=O)C
InChI 1S/C49H90N4O12/c1-6-8-10-12-14-16-18-20-22-24-26-28-30-39(31-29-27-25-23-21-19-17-15-13-11-9-7-2)49(63)64-35-42(56)44(59)45(41(34-54)52-38(5)55)65-37(4)48(62)51-36(3)47(61)53-40(46(50)60)32-33-43(57)58/h34,36-37,39-42,44-45,56,59H,6-33,35H2,1-5H3,(H2,50,60)(H,51,62)(H,52,55)(H,53,61)(H,57,58)/t36-,37+,40+,41-,42+,44+,45+/m0/s1
InChIKey GMDKAFQKGCXHQQ-UQIULFSHSA-N
Properties
Density 1.084g/cm3 (Cal.)
Boiling point 1086.132°C at 760 mmHg (Cal.)
Flash point 610.671°C (Cal.)
Market Analysis Reports
List of Reports Available for 6-O-(2-Tetradecylhexadecanoyl)-N-acetylmuramyl-L-alanyl-D-isoglutamine
Related Products
2-[[4-[(2-Cyano-3-Nitrophenyl)Azo]-m-Tol...  3,3-Dibutyl-2,4,3-Benzodioxastannepin-1,...  3,5-Bis((2'-Nitroxyethyl)Aminocarbonyl)P...  Propikacin  6''-Fluoro-2'',3''-Dihydro-2H,5H-Spiro[I...  5-(3,4-Dimethoxyphenyl)Oxazolidin-2-One  [2-Methoxy-4-(1-Propenyl)Phenoxy]Trimeth...  3-Ethylchromen-2-One  Talosalate  Dibutyl (Z,Z,Z)-6-[(4-Butoxy-1,4-Dioxobu...  cis-(R,S)-1,2-Diaminocyclohexaneplatinum...  trans-(S,S)-1,2-Diaminocyclohexaneplatin...  9-Oxabicyclo[6.1.0]Non-2-Ene  Ethyl (E)-2-Decen-4-Ynoate  Phenylacetic Acid 2-Dimethylamino-1-Phen...