基本信息
| 产品名称 |
1-去氨基青霉胺-2-(O-甲基-酪氨酰)-精氨酸加压素 |
| 英文名 |
1-Deaminopenicillamine-2-(O-methyl-tyr)-argipressin |
| 别名 |
1-[7-(2-Amino-2-Oxo-Ethyl)-10-(3-Amino-3-Oxo-Propyl)-16-[(4-Methoxyphenyl)Methyl]-20,20-Dimethyl-6,9,12,15,18-Pentaoxo-13-(Phenylmethyl)1,2-Dithia-5,8,11,14,17-Pentazacycloicosane-4-Carbonyl]-N-[1-[(2-Amino-2-Oxo-Ethyl)Carbamoyl]-4-Guanidino-Butyl]Pyrrolidine-2-Carboxamide; N-[1-[[(2-Amino-2-Oxoethyl)Amino]-Oxomethyl]-4-Guanidinobutyl]-1-[[7-(2-Amino-2-Oxoethyl)-10-(3-Amino-3-Oxopropyl)-16-[(4-Methoxyphenyl)Methyl]-20,20-Dimethyl-6,9,12,15,18-Pentaoxo-13-(Phenylmethyl)-1,2-Dithia-5,8,11,14,17-Pentazacycloicos-4-Yl]-Oxomethyl]-2-Pyrrolidinecarboxamide; 1-[7-(2-Amino-2-Keto-Ethyl)-10-(3-Amino-3-Keto-Propyl)-13-(Benzyl)-6,9,12,15,18-Pentaketo-16-(4-Methoxybenzyl)-20,20-Dimethyl-1,2-Dithia-5,8,11,14,17-Pentazacycloicosane-4-Carbonyl]-N-[1-[(2-Amino-2-Keto-Ethyl)Carbamoyl]-4-Guanidino-Butyl]Pyrrolidine-2-Carboxamide |
|
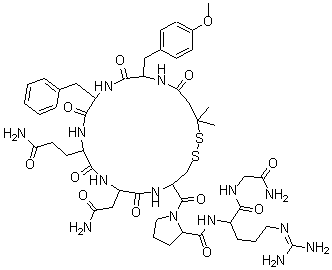
| 分子结构 |
 |
| 分子式 |
C49H70N14O12S2 |
| 分子量 |
1111.30 |
| CAS 登录号 |
67269-08-3 |
| 分子行输入简码 SMILES |
C4=C(CC1NC(=O)CC(SSCC(NC(=O)C(NC(=O)C(NC(=O)C(NC1=O)CC2=CC=CC=C2)CCC(=O)N)CC(=O)N)C(=O)N3C(CCC3)C(=O)NC(CCCN=C(N)N)C(=O)NCC(=O)N)(C)C)C=CC(=C4)OC |
| 国际化学标识码 InChI |
1S/C49H70N14O12S2/c1-49(2)24-40(67)57-32(22-28-13-15-29(75-3)16-14-28)43(70)60-33(21-27-9-5-4-6-10-27)44(71)58-31(17-18-37(50)64)42(69)61-34(23-38(51)65)45(72)62-35(26-76-77-49)47(74)63-20-8-12-36(63)46(73)59-30(11-7-19-55-48(53)54)41(68)56-25-39(52)66/h4-6,9-10,13-16,30-36H,7-8,11-12,17-26H2,1-3H3,(H2,50,64)(H2,51,65)(H2,52,66)(H,56,68)(H,57,67)(H,58,71)(H,59,73)(H,60,70)(H,61,69)(H,62,72)(H4,53,54,55) |
| 国际化学标识检索码 InChIKey |
HNOGCDKPALYUIG-UHFFFAOYSA-N |
|