Online Database of Chemicals from Around the World

1-棕榈酰-2-油酰基磷脂酰胆碱
[CAS# 6753-55-5]

供应商
Santa Cruz Biotechnology, Inc. 美国 询价快递  
+1 (831) 457-3800
scbt@scbt.com
化学品生产商
基本信息
产品名称 1-棕榈酰-2-油酰基磷脂酰胆碱
英文名 1-Palmitoyl-2-Oleoylphosphatidylcholine
别名 [3-Hexadecanoyloxy-2-[(Z)-Octadec-9-Enoyl]Oxy-Propyl] 2-Trimethylammonioethyl Phosphate; [3-(1-Oxohexadecoxy)-2-[(Z)-1-Oxooctadec-9-Enoxy]Propyl] 2-Trimethylammonioethyl Phosphate; [3-Hexadecanoyloxy-2-[(Z)-Octadec-9-Enoyl]Oxy-Propyl] 2-Trimethylazaniumylethyl Phosphate
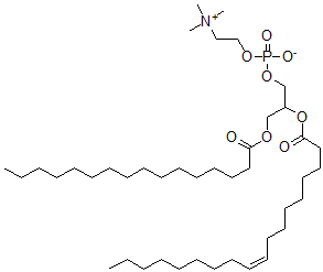
分子结构 CAS 登录号:6753-55-5, 1-棕榈酰-2-油酰基磷脂酰胆碱
分子式 C42H82NO8P
分子量 760.09
CAS 登录号 6753-55-5
分子行输入简码 SMILES C(C(COC(CCCCCCCCCCCCCCC)=O)OC(CCCCCCC\C=C/CCCCCCCC)=O)O[P](OCC[N+](C)(C)C)(=O)[O-]
国际化学标识码 InChI 1S/C42H82NO8P/c1-6-8-10-12-14-16-18-20-21-23-25-27-29-31-33-35-42(45)51-40(39-50-52(46,47)49-37-36-43(3,4)5)38-48-41(44)34-32-30-28-26-24-22-19-17-15-13-11-9-7-2/h20-21,40H,6-19,22-39H2,1-5H3/b21-20-
国际化学标识检索码 InChIKey WTJKGGKOPKCXLL-MRCUWXFGSA-N
市场分析报告
请浏览1-棕榈酰-2-油酰基磷脂酰胆碱市场分析报告总目录
相关产品
1-硬脂酰-2-油酰基-Sn-甘油-3-磷酰胆碱  肼苯哒嗪丙酮酸腙  异丙基甲基亚膦酸氢酯  4,5,6-三硝基苯-1,2,3-三胺  水蓼二醛  英拉西坦  4-乙酰氨基苯基 2-噻吩羧酸酯  1-(4-氯苯基)-3-(4-甲基-1-哌嗪基)-...  焦谷氨酰-组氨酰-安非他命  焦谷氨酰-组氨酰-脯氨酰-安非他命  (3aR)-3a,4,4a,5,6,7,7aalp...  1-(4alpha-甲基-8-亚甲基-十氢萘-2-...  (1-氨基-1-环戊基)膦酸水合物  2-丁氧基-1,3,2-二氧杂磷杂环戊烷 2-氧化...  14-(乙基氨基)-2,3,6,7-四氢-1H,5...