基本信息
| 产品名称 |
1,5-二羟基-1,5-戊烷二磺酸钾盐(1:2) |
| 英文名 |
1,5-Dihydroxy-1,5-Pentanedisulfonicacid Potassium Salt (1:2) |
| 别名 |
1,5-Dihydroxy-1,5-Pentanedisulfonic Acid, Dipotassium Salt; 1,5-Pentanedisulfonic Acid, 1,5-Dihydroxy-, Dipotassium Salt; Dipotassium 1,5-Dihydroxypentane-1,5-Disulphonate |
|
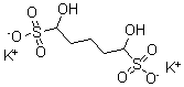
| 分子结构 |
 |
| 分子式 |
C5H10K2O8S2 |
| 分子量 |
340.45 |
| CAS 登录号 |
68310-08-7 |
| EINECS 登录号 |
269-696-3 |
| 分子行输入简码 SMILES |
C(C([S]([O-])(=O)=O)O)CCC([S]([O-])(=O)=O)O.[K+].[K+] |
| 国际化学标识码 InChI |
1S/C5H12O8S2.2K/c6-4(14(8,9)10)2-1-3-5(7)15(11,12)13;;/h4-7H,1-3H2,(H,8,9,10)(H,11,12,13);;/q;2*+1/p-2 |
| 国际化学标识检索码 InChIKey |
NHRVBNYXBCAEOI-UHFFFAOYSA-L |
|