基本信息
| 产品名称 |
1-(3-巯基-L-缬氨酸)-2-L-亮氨酸-后叶催产素 |
| 英文名 |
1-(3-Mercapto-L-valine)-2-L-leucine-Oxytocin |
| 别名 |
1-[(4R,7S,10S,16S,19R)-19-Amino-7-(2-Amino-2-Oxo-Ethyl)-10-(3-Amino-3-Oxo-Propyl)-16-Isobutyl-20,20-Dimethyl-6,9,12,15,18-Pentaoxo-13-Sec-Butyl-1,2-Dithia-5,8,11,14,17-Pentazacycloicosane-4-Carbonyl]-N-[(1S)-1-[(2-Amino-2-Oxo-Ethyl)Carbamoyl]-3-Methyl-Butyl]Pyrrolidine-2-Carboxamide; 1-[[(4R,7S,10S,16S,19R)-19-Amino-7-(2-Amino-2-Oxoethyl)-10-(3-Amino-3-Oxopropyl)-16-Isobutyl-20,20-Dimethyl-6,9,12,15,18-Pentaoxo-13-Sec-Butyl-1,2-Dithia-5,8,11,14,17-Pentazacycloicos-4-Yl]-Oxomethyl]-N-[(1S)-1-[[(2-Amino-2-Oxoethyl)Amino]-Oxomethyl]-3-Methylbutyl]-2-Pyrrolidinecarboxamide; 1-[(4R,7S,10S,16S,19R)-19-Amino-7-(2-Amino-2-Keto-Ethyl)-10-(3-Amino-3-Keto-Propyl)-16-Isobutyl-6,9,12,15,18-Pentaketo-20,20-Dimethyl-13-Sec-Butyl-1,2-Dithia-5,8,11,14,17-Pentazacycloicosane-4-Carbonyl]-N-[(1S)-1-[(2-Amino-2-Keto-Ethyl)Carbamoyl]-3-Methyl-Butyl]Pyrrolidine-2-Carboxamide |
|
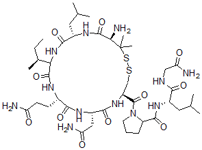
| 分子结构 |
 |
| 分子式 |
C42H72N12O11S2 |
| 分子量 |
985.22 |
| CAS 登录号 |
68974-28-7 |
| 分子行输入简码 SMILES |
[C@@H]1(NC(=O)[C@@H](NC(=O)[C@@H](NC(=O)C(NC(=O)[C@@H](NC(=O)[C@@H](N)C(SSC1)(C)C)CC(C)C)[C@H](CC)C)CCC(=O)N)CC(=O)N)C(=O)N2C(C(=O)N[C@H](C(=O)NCC(=O)N)CC(C)C)CCC2 |
| 国际化学标识码 InChI |
1S/C42H72N12O11S2/c1-9-22(6)32-39(63)48-23(12-13-29(43)55)35(59)49-26(17-30(44)56)36(60)52-27(19-66-67-42(7,8)33(46)40(64)51-25(16-21(4)5)37(61)53-32)41(65)54-14-10-11-28(54)38(62)50-24(15-20(2)3)34(58)47-18-31(45)57/h20-28,32-33H,9-19,46H2,1-8H3,(H2,43,55)(H2,44,56)(H2,45,57)(H,47,58)(H,48,63)(H,49,59)(H,50,62)(H,51,64)(H,52,60)(H,53,61)/t22-,23-,24-,25-,26-,27-,28?,32?,33+/m0/s1 |
| 国际化学标识检索码 InChIKey |
VYJJNCPBSHEQPK-PUNYTLGJSA-N |
|