| Otava Ltd. | Ukraine | Inquire | ||
|---|---|---|---|---|
![]() |
+380 (44) 522-2458 | |||
![]() |
order@otavachemicals.com | |||
| Chemical manufacturer since 1997 | ||||
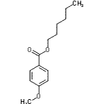
| Name | Hexyl 4-methoxybenzoate |
|---|---|
| Synonyms | Hexyl 4-methoxybenzoate # |
| Molecular Structure | ![]() |
| Molecular Formula | C14H20O3 |
| Molecular Weight | 236.31 |
| CAS Registry Number | 71607-26-6 |
| EINECS | 275-670-2 |
| SMILES | O=C(OCCCCCC)c1ccc(OC)cc1 |
| InChI | 1S/C14H20O3/c1-3-4-5-6-11-17-14(15)12-7-9-13(16-2)10-8-12/h7-10H,3-6,11H2,1-2H3 |
| InChIKey | DUALVGKOWZJXLR-UHFFFAOYSA-N |
| Density | 1.01g/cm3 (Cal.) |
|---|---|
| Boiling point | 331.861°C at 760 mmHg (Cal.) |
| Flash point | 136.943°C (Cal.) |
| Market Analysis Reports |
| List of Reports Available for Hexyl 4-methoxybenzoate |