基本信息
| 产品名称 |
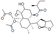
[(1R,4R,4aR,5S,7R,8S,8aR)-8-[(3aR,6aS)-2,3,3a,4,5,6a-六氢呋喃并[5,4-b]呋喃-2-基]-5-乙酰氧基-4a-(乙酰氧基甲基)-3-羟基-7,8-二甲基螺[2,3,5,6,7,8a-六氢-1H-萘-4,2'-环氧乙烷]-1-基] (2S)-2-甲基丁酸酯 |
| 英文名 |
[(1R,4R,4aR,5S,7R,8S,8aR)-8-[(3aR,6aS)-2,3,3a,4,5,6a-Hexahydrofuro[5,4-b]Furan-2-Yl]-5-Acetyloxy-4a-(Acetyloxymethyl)-3-Hydroxy-7,8-Dimethylspiro[2,3,5,6,7,8a-Hexahydro-1H-Naphthalene-4,2'-Oxirane]-1-Yl] (2S)-2-Methylbutanoate |
| 别名 |
[(1R,4R,4Ar,5S,7R,8S,8Ar)-8-[(3Ar,6As)-2,3,3A,4,5,6A-Hexahydrofuro[5,4-B]Furan-2-Yl]-5-Acetoxy-4A-(Acetoxymethyl)-3-Hydroxy-7,8-Dimethyl-Spiro[Decalin-4,2'-Oxirane]-1-Yl] (2S)-2-Methylbutanoate; (2S)-2-Methylbutanoic Acid [(1R,4R,4Ar,5S,7R,8S,8Ar)-8-[(3Ar,6As)-2,3,3A,4,5,6A-Hexahydrofuro[5,4-B]Furan-2-Yl]-5-Acetoxy-4A-(Acetoxymethyl)-3-Hydroxy-7,8-Dimethyl-1-Spiro[Decalin-4,2'-Oxirane]Yl] Ester; (2S)-2-Methylbutyric Acid [(1R,4R,4Ar,5S,7R,8S,8Ar)-8-[(3Ar,6As)-2,3,3A,4,5,6A-Hexahydrofuro[5,4-B]Furan-2-Yl]-5-Acetoxy-4A-(Acetoxymethyl)-3-Hydroxy-7,8-Dimethyl-Spiro[Decalin-4,2'-Oxirane]-1-Yl] Ester |
|
| 分子结构 |
![CAS 登录号:72160-84-0, [(1R,4R,4aR,5S,7R,8S,8aR)-8-[(3aR,6aS)-2,3,3a,4,5,6a-六氢呋喃并[5,4-b]呋喃-2-基]-5-乙酰氧基-4a-(乙酰氧基甲基)-3-羟基-7,8-二甲基螺[2,3,5,6,7,8a-六氢-1H-萘-4,2'-环氧乙烷]-1-基] (2S)-2-甲基丁酸酯](/moreStructures/72160-84-0.gif) |
| 分子式 |
C29H44O10 |
| 分子量 |
552.66 |
| CAS 登录号 |
72160-84-0 |
| 分子行输入简码 SMILES |
[C@@H](C(=O)O[C@@H]1CC([C@]5([C@]2([C@H]1[C@@]([C@@H](C[C@@H]2OC(=O)C)C)(C)C3O[C@H]4[C@@H](C3)CCO4)COC(=O)C)OC5)O)(CC)C |
| 国际化学标识码 InChI |
1S/C29H44O10/c1-7-15(2)25(33)38-20-12-21(32)29(14-36-29)28(13-35-17(4)30)23(37-18(5)31)10-16(3)27(6,24(20)28)22-11-19-8-9-34-26(19)39-22/h15-16,19-24,26,32H,7-14H2,1-6H3/t15-,16+,19+,20+,21?,22?,23-,24+,26-,27+,28+,29+/m0/s1 |
| 国际化学标识检索码 InChIKey |
YKWBDFBNTYGFFZ-JBXMTNKTSA-N |
|