| Achemica | 瑞士 | 询价快递 | ||
|---|---|---|---|---|
![]() |
+41 (24) 466-2929 | |||
![]() |
contact@achemica.com | |||
| 化学品生产商(2010 年起) | ||||
| 深圳爱拓化学有限公司 | 中国 | 询价快递 | ||
|---|---|---|---|---|
![]() |
+86 13417589054//+86 13424336463 | |||
![]() |
info@atomaxchem.com,atomax.chemicals@gmail.com, | |||
![]() |
QQ 交流 | |||
| 化学品生产商 | ||||
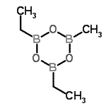
| 产品名称 | 2,4-二乙基-6-甲基环硼氧烷 |
|---|---|
| 英文名 | 2,4-Diethyl-6-methylboroxin |
| 别名 | 2,4-diethyl-6-methyl-1,3,5,2,4,6-trioxatriborinane; 2,4-Diethyl-6-methylboroxin # |
| 分子结构 | ![]() |
| 分子式 | C5H13B3O3 |
| 分子量 | 153.59 |
| CAS 登录号 | 727708-54-5 |
| 分子行输入简码 SMILES | O1B(OB(OB1C)CC)CC |
| 国际化学标识码 InChI | 1S/C5H13B3O3/c1-4-7-9-6(3)10-8(5-2)11-7/h4-5H2,1-3H3 |
| 国际化学标识检索码 InChIKey | LKOKWJBYCWWRJG-UHFFFAOYSA-N |
| 密度 | 0.863g/cm3 (计算值) |
|---|---|
| 沸点 | 123.641°C at 760 mmHg (计算值) |
| 闪点 | 28.578°C (计算值) |
| 折射率 | 1.355 (计算值) |
| 市场分析报告 |
| 请浏览2,4-二乙基-6-甲基环硼氧烷市场分析报告总目录 |