Identification
| Name |
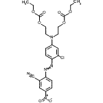
({3-Chloro-4-[(2-cyano-4-nitrophenyl)diazenyl]phenyl}imino)di-2,1-ethanediyl diethyl biscarbonate |
| Synonyms |
ethyl 5-[3-chloro-4-[(2-cyano-4-nitrophenyl)azo]phenyl]-9-oxo-2,8,10-trioxa-5-azadodecanoate |
|
| Molecular Structure |
![CAS#: 73384-66-4, ({3-Chloro-4-[(2-cyano-4-nitrophenyl)diazenyl]phenyl}imino)di-2,1-ethanediyl diethyl biscarbonate](/moreStructures/73384-66-4.gif) |
| Molecular Formula |
C23H24ClN5O8 |
| Molecular Weight |
533.92 |
| CAS Registry Number |
73384-66-4 |
| EINECS |
277-408-2 |
| SMILES |
Clc2cc(ccc2N=Nc1ccc(cc1C#N)[N+]([O-])=O)N(CCOC(=O)OCC)CCOC(=O)OCC |
| InChI |
1S/C23H24ClN5O8/c1-3-34-22(30)36-11-9-28(10-12-37-23(31)35-4-2)17-5-8-21(19(24)14-17)27-26-20-7-6-18(29(32)33)13-16(20)15-25/h5-8,13-14H,3-4,9-12H2,1-2H3 |
| InChIKey |
OZPWXOCUMJVGST-UHFFFAOYSA-N |
|