Online Database of Chemicals from Around the World

N,N'-二乙基-N,N'-二亚硝基乙二胺
[CAS# 7346-14-7]

供应商
CAS#: 7346-14-7
产品: N,N'-二乙基-N,N'-二亚硝基乙二胺
暂时没有厂家供应该产品。
基本信息
产品名称 N,N'-二乙基-N,N'-二亚硝基乙二胺
英文名 N,N'-Diethyl-N,N'-dinitrosoethylenediamine
别名 N-Ethyl-N-[2-(Ethyl-Nitroso-Amino)Ethyl]Nitrous Amide; 1,2-Ethanediamine, N,N'-Diethyl-N,N'-Dinitroso- (9Ci); Brn 1783375
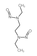
分子结构 CAS 登录号:7346-14-7, N,N'-二乙基-N,N'-二亚硝基乙二胺
分子式 C6H14N4O2
分子量 174.20
CAS 登录号 7346-14-7
分子行输入简码 SMILES C(N(N=O)CCN(N=O)CC)C
国际化学标识码 InChI 1S/C6H14N4O2/c1-3-9(7-11)5-6-10(4-2)8-12/h3-6H2,1-2H3
国际化学标识检索码 InChIKey OZTCCANDHYUXMW-UHFFFAOYSA-N
物理化学性质
密度 1.139g/cm3 (计算值)
沸点 366.812°C at 760 mmHg (计算值)
闪点 175.642°C (计算值)
市场分析报告
请浏览N,N'-二乙基-N,N'-二亚硝基乙二胺市场分析报告总目录
相关产品
四亚甲基二硫氰酸酯  (1aR-(1aalpha,4alpha,4abe...  2-氯-alpha-氰基氢肉桂酸甲酯  (2S)-2-氨基-3-甲基-3-亚硝基巯基丁酸  1-[3-(2-甲基丙氧基)丙氧基]丙-1-醇  1-[3-[3-(2-甲基丙氧基)丙氧基]丙氧基]...  三乙二醇癸酸酯-辛酸酯  环己基铵乙酸盐  (Z)2-(甲基-9-十八碳烯基氨基)乙烷磺酸钠  1,5-二氨基-2-溴-4,8-二羟基蒽-9,10...  2-(2,4,6-三溴苯氧基)乙基丙烯酸酯  牛磺酸钠  N,N-二异丙基-对甲苯胺  6beta,7alpha-二氢苯并(1,10)醋菲...  4-[[4-(二甲基氨基)-2-甲基苯基]偶氮]-...